🇳🇴 🇬🇧 🇩🇪 🇨🇿 🇫🇮

Meteor over Ski 2025-09-25 00:21:52 UTC

KML-fil  |  Interaktivt kart

Kartet viser peilingene for meteoren. De lysere linjene viser retningene fra observasjonsstedene for meteorens tilsynekomst, og de mørkere linjene viser hvor den sist kunne sees. Den blå pila viser meteorens synlige ferd.

static map
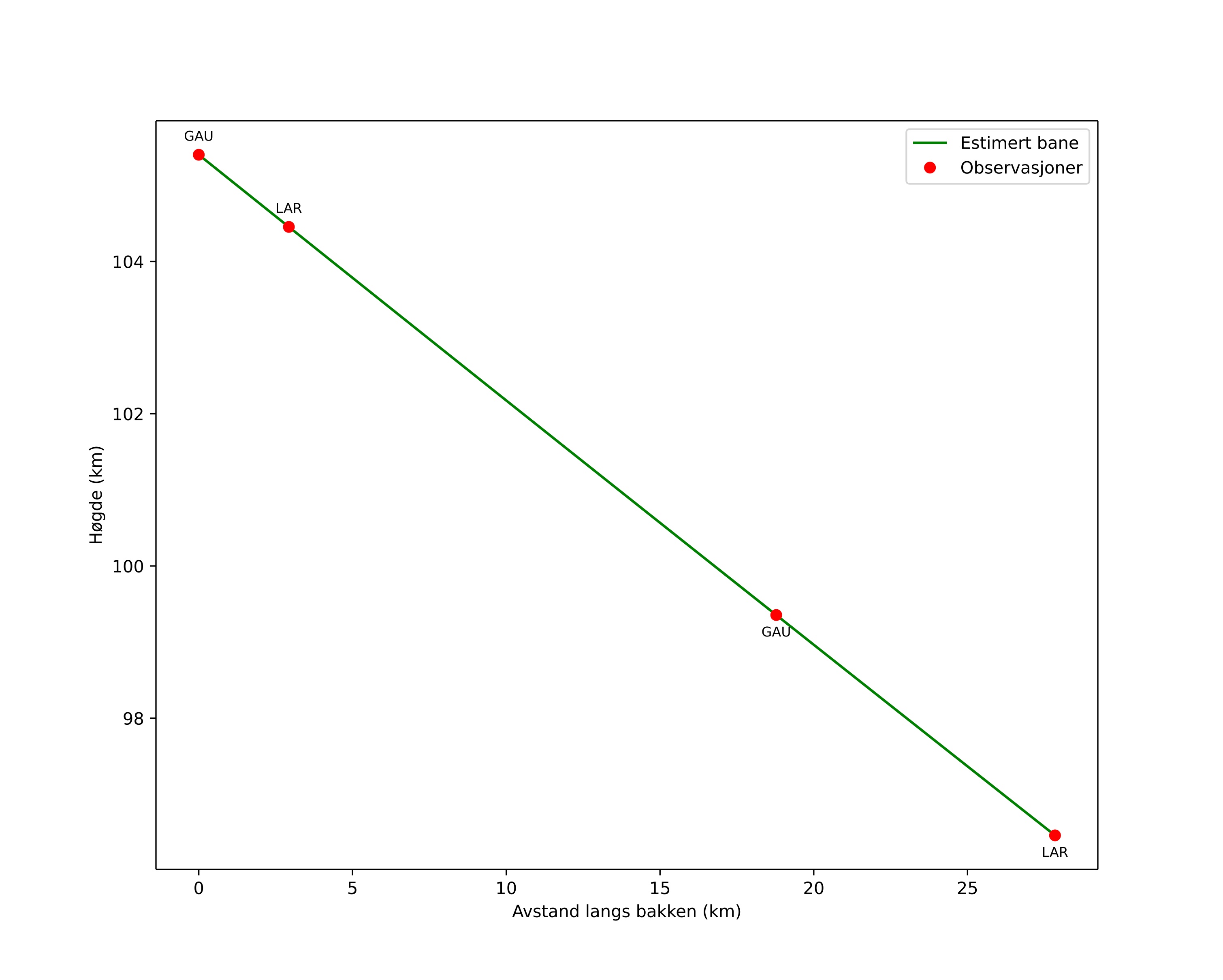
height profile
Meteorens atmosfæriske bane:
Starthøgde: 106,4 km
Slutthøgde: 98,2 km
Startposisjon: 59,941N 11,098E
Sluttposisjon: 59,745N 10,860E
Retning: 211,4°
Fallvinkel: 17,8°
Inngangshastighet: 52,7 km/s
Radiantens rektascensjon: 10:35 (158,8°)
Radiantens deklinasjon: 41,5°
Meteorsverm: sporadisk
Meteoroidens baneelement:
Perihelavstand: 0,372 AU
Eksentrisitet: 1,039
Inklinasjon: 85,1°
Knutelengde: 181,9°
Perihelargument: 76,5°
Midlere anomali: 1,2°
Epoke: 2025 SEP 25 00:21:52
orbit plot

Ikke-interaktivt plott | Interaktivt plott

position vs time
speed and acceleration

Gaustatoppen (GAU) cam2


gnomonic
Videoer
• Gnomonisk
• Gnomonisk med koordinater
• Original
• Original med koordinater
Bilder
• Gnomonisk
• Gnomonisk med koordinater
• Original
• Original med koordinater
Tekstfiler
• Deteksjon
• Observasjon
• Koordinater
• Logg
Lysstyrke

Larvik (LAR) cam6


gnomonic
Videoer
• Gnomonisk
• Gnomonisk med koordinater
• Original
• Original med koordinater
Bilder
• Gnomonisk
• Gnomonisk med koordinater
• Original
• Original med koordinater
Tekstfiler
• Deteksjon
• Observasjon
• Koordinater
• Logg
Lysstyrke