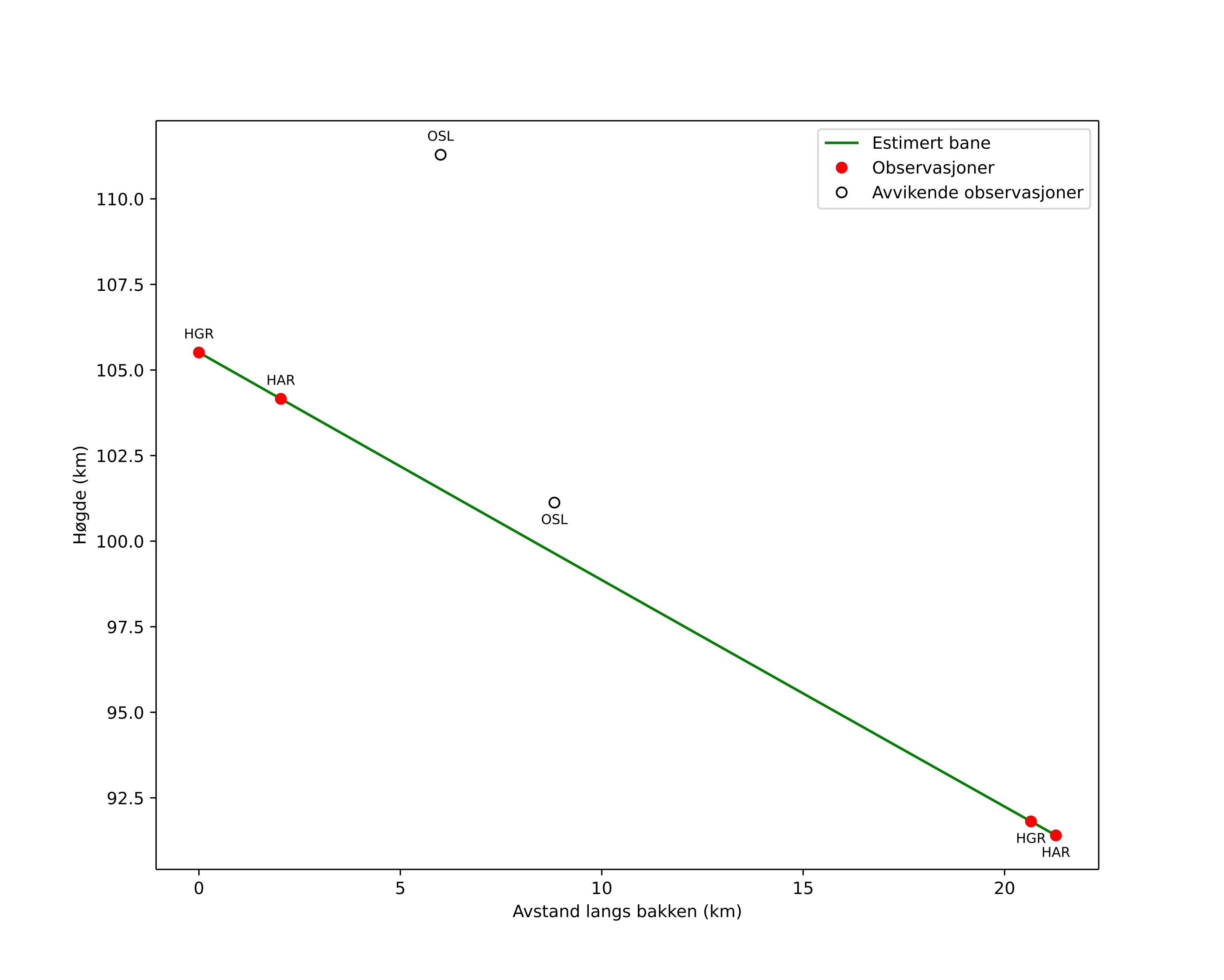
Atmosférická dráha meteoru:
| Počátečnà výška: | 106,3 km |
| Konečná výška: | 91,4 km |
| Počátečnà poloha: | 61,084N 12,484E |
| Konečná poloha: | 60,988N 12,114E |
| Směr: | 242,1° |
| Sklon: | 33,5° |
| VstupnĂ rychlost: | 52,0 km/s |
| Rektascenze radiantu: | 07:56 (119,1°) |
| Deklinace radiantu: | 41,8° |
| MeteorickĂ˝ roj: | sporadickĂ˝ |
|
Elementy dráhy meteoroidu:
| Vzdálenost v periheliu: | 0,380 AU |
| Excentricita: | 0,586 |
| Sklon dráhy: | 129,2° |
| Délka vzestupného uzlu: | 181,9° |
| Argument perihelia: | 47,0° |
| Střednà anomálie: | 66,1° |
| Epocha: | 2025 SEP 25 00:26:44 |
|