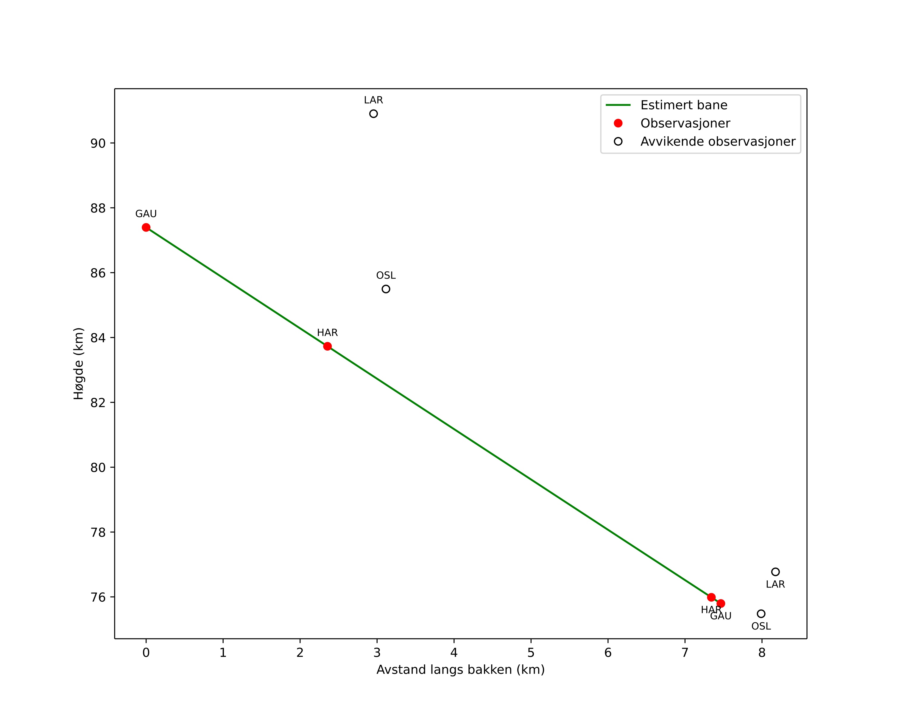
Atmosférická dráha meteoru:
| Počátečnà výška: | 87,8 km |
| Konečná výška: | 75,3 km |
| Počátečnà poloha: | 58,414N 10,844E |
| Konečná poloha: | 58,342N 10,863E |
| Směr: | 172,1° |
| Sklon: | 57,0° |
| VstupnĂ rychlost: | 40,5 km/s |
| Rektascenze radiantu: | 19:22 (290,5°) |
| Deklinace radiantu: | 84,9° |
| MeteorickĂ˝ roj: | sporadickĂ˝ |
|
Elementy dráhy meteoroidu:
| Vzdálenost v periheliu: | 1,000 AU |
| Excentricita: | 0,880 |
| Sklon dráhy: | 64,9° |
| Délka vzestupného uzlu: | 181,9° |
| Argument perihelia: | 186,3° |
| Střednà anomálie: | 359,8° |
| Epocha: | 2025 SEP 25 01:35:50 |
|