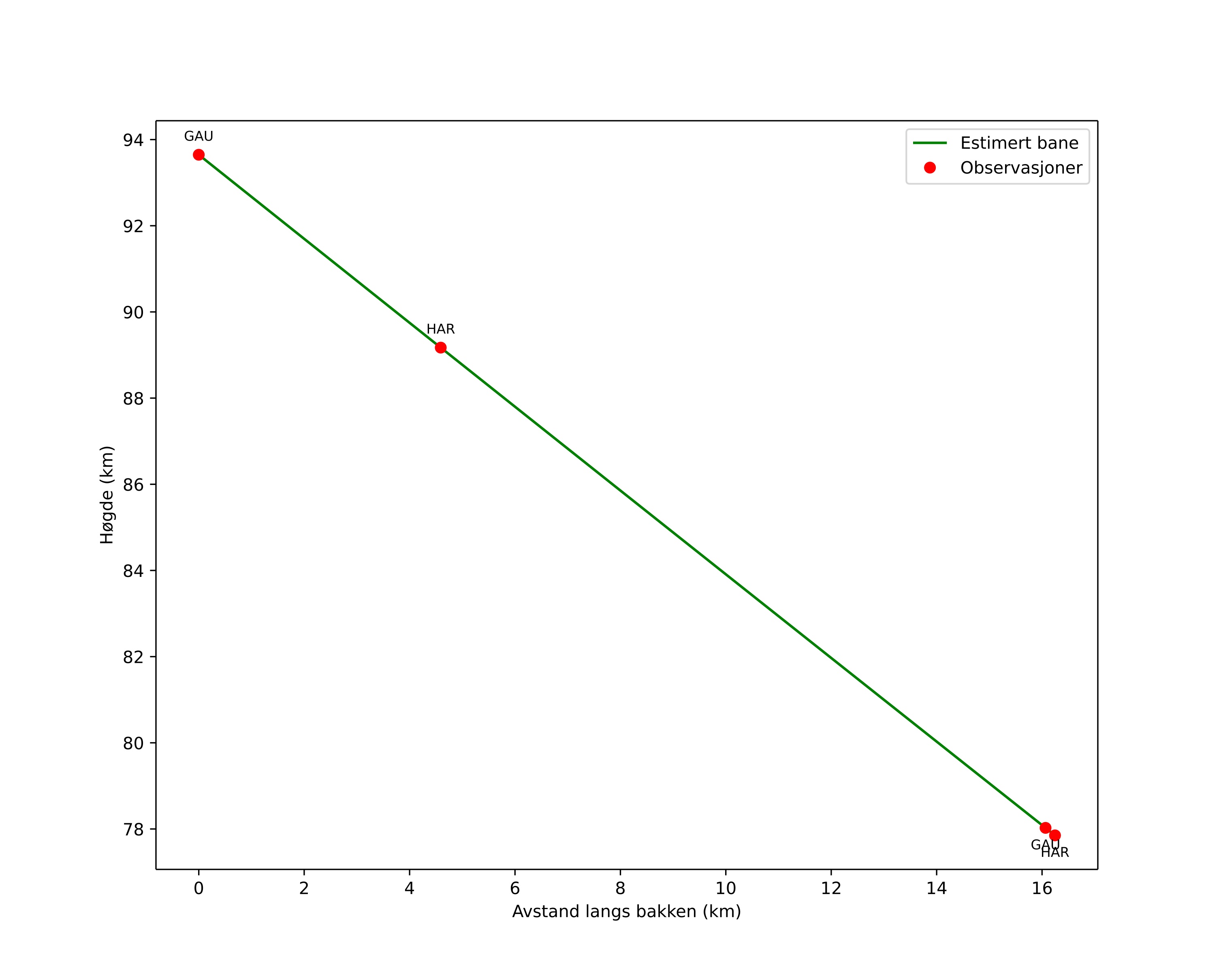
Atmosphärische Bahn des Meteors:
| Anfangshöhe: | 96,5 km |
| Endhöhe: | 77,5 km |
| Startposition: | 60,368N 9,733E |
| Endposition: | 60,239N 9,970E |
| Richtung: | 137,6° |
| Neigungswinkel: | 44,5° |
| Eintrittsgeschwindigkeit: | 25,7 km/s |
| Rektaszension des Radianten: | 21:30 (322,5°) |
| Deklination des Radianten: | 57,9° |
| Meteorstrom: | sporadisch |
|
Bahnelemente des Meteoroiden:
| Periheldistanz: | 0,902 AU |
| Exzentrizität: | 0,624 |
| Inklination: | 36,0° |
| Länge des aufsteigenden Knotens: | 182,0° |
| Argument des Perihels: | 222,3° |
| Mittlere Anomalie: | 351,8° |
| Epoche: | 2025 SEP 25 03:38:30 |
|