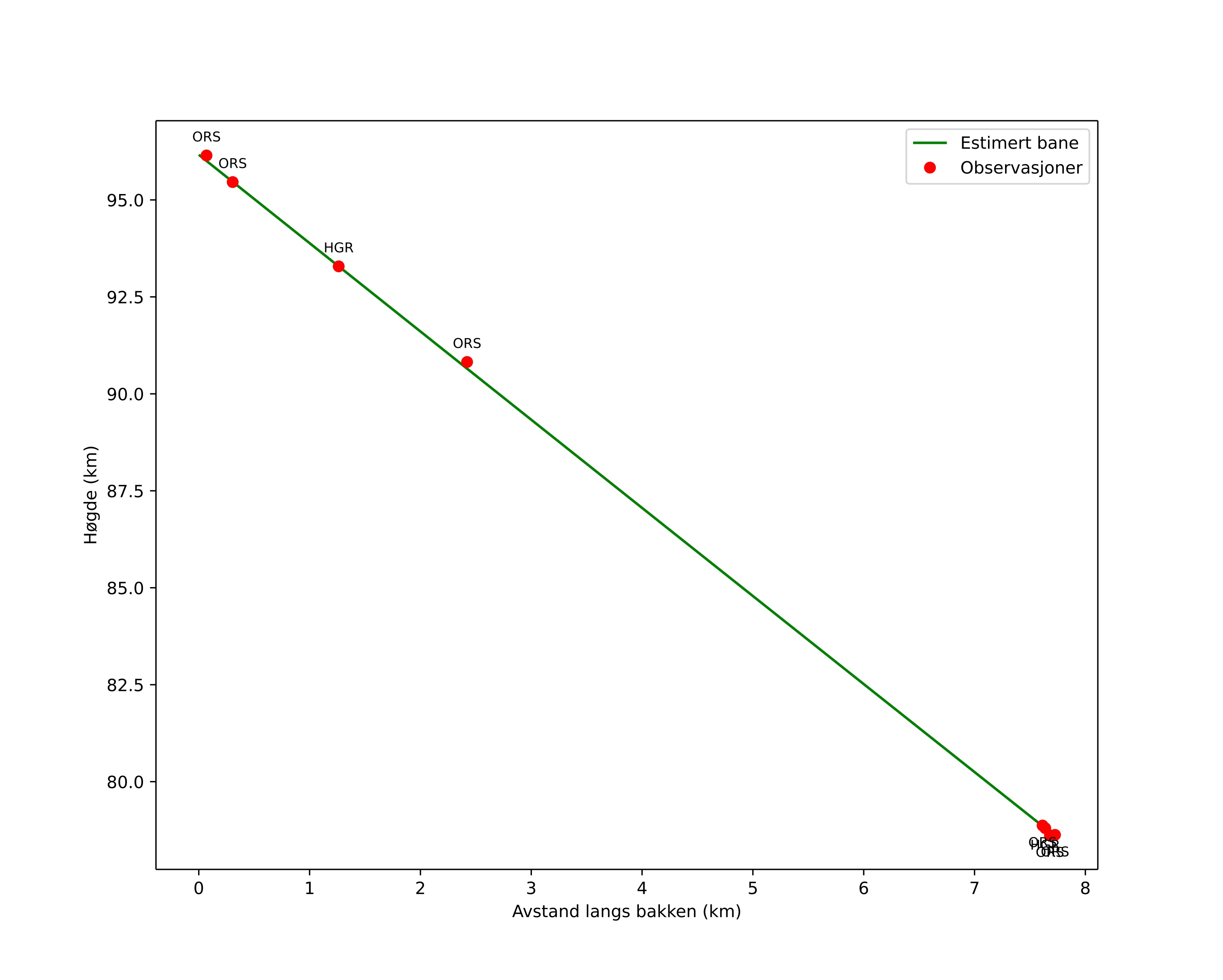
Atmosférická dráha meteoru:
| Počátečnà výška: | 95,3 km |
| Konečná výška: | 77,9 km |
| Počátečnà poloha: | 62,172N 7,784E |
| Konečná poloha: | 62,117N 7,868E |
| Směr: | 144,8° |
| Sklon: | 66,6° |
| VstupnĂ rychlost: | 33,3 km/s |
| Rektascenze radiantu: | 15:55 (239,0°) |
| Deklinace radiantu: | 74,0° |
| MeteorickĂ˝ roj: | sporadickĂ˝ |
|
Elementy dráhy meteoroidu:
| Vzdálenost v periheliu: | 0,992 AU |
| Excentricita: | 0,747 |
| Sklon dráhy: | 51,6° |
| Délka vzestupného uzlu: | 182,6° |
| Argument perihelia: | 167,3° |
| Střednà anomálie: | 1,2° |
| Epocha: | 2025 SEP 25 19:09:47 |
|