🇳🇴 🇬🇧 🇩🇪 🇨🇿 🇫🇮

Meteor über Skinnskatteberg 2025-09-26 00:52:39 UTC

KML-Datei  |  Interaktive Karte

Die Karte zeigt die Peilungen für den Meteor. Die helleren Linien zeigen die Richtungen von den Beobachtungsorten beim Erscheinen des Meteors, und die dunkleren Linien, wo er zuletzt gesehen wurde. Der blaue Pfeil zeigt die sichtbare Bahn des Meteors.

static map
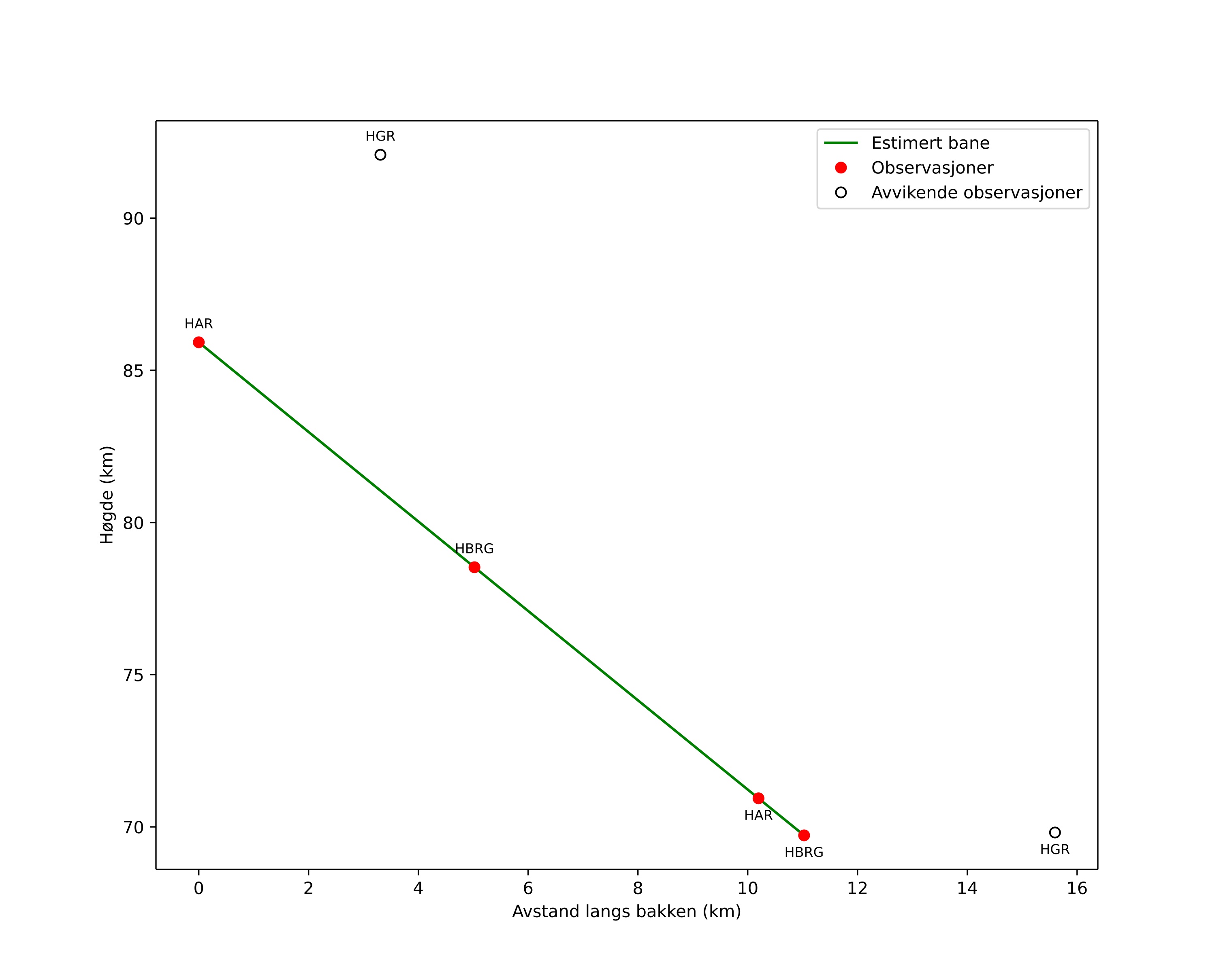
height profile
Atmosphärische Bahn des Meteors:
Anfangshöhe: 87,3 km
Endhöhe: 72,3 km
Startposition: 59,970N 15,354E
Endposition: 59,874N 15,437E
Richtung: 156,5°
Neigungswinkel: 52,3°
Eintrittsgeschwindigkeit: 30,6 km/s
Rektaszension des Radianten: 18:43 (280,8°)
Deklination des Radianten: 73,6°
Meteorstrom: sporadisch
Bahnelemente des Meteoroiden:
Periheldistanz: 0,999 AU
Exzentrizität: 0,682
Inklination: 47,2°
Länge des aufsteigenden Knotens: 182,9°
Argument des Perihels: 188,0°
Mittlere Anomalie: 358,9°
Epoche: 2025 SEP 26 00:52:39
orbit plot

Nicht-interaktives Diagramm | Interaktives Diagramm

position vs time
speed and acceleration

Hagar (HGR) cam4


gnomonic
Videos
• Gnomonisch
• Gnomonisch mit Koordinaten
• Original
• Original mit Koordinaten
Bilder
• Gnomonisch
• Gnomonisch mit Koordinaten
• Original
• Original mit Koordinaten
Textdateien
• Erkennung
• Beobachtung
• Koordinaten
• Protokoll
Helligkeit

Harestua (HAR) cam2


gnomonic
Videos
• Gnomonisch
• Gnomonisch mit Koordinaten
• Original
• Original mit Koordinaten
Bilder
• Gnomonisch
• Gnomonisch mit Koordinaten
• Original
• Original mit Koordinaten
Textdateien
• Erkennung
• Beobachtung
• Koordinaten
• Protokoll
Helligkeit