Atmosphärische Bahn des Meteors:
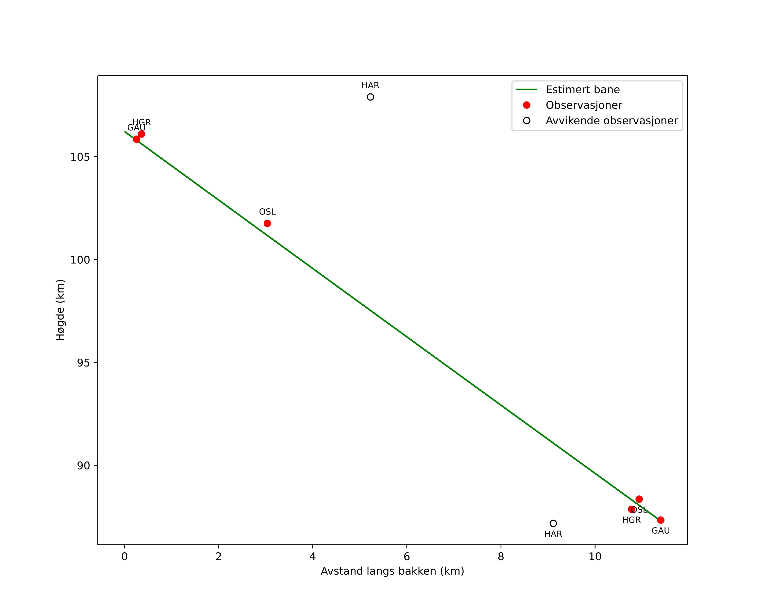
| Anfangshöhe: | 118,9 km |
| Endhöhe: | 87,3 km |
| Startposition: | 57,994N 11,130E |
| Endposition: | 58,042N 10,971E |
| Richtung: | 299,7° |
| Neigungswinkel: | 71,1° |
| Eintrittsgeschwindigkeit: | 69,2 km/s |
| Rektaszension des Radianten: | 05:35 (84,0°) |
| Deklination des Radianten: | 45,6° |
| Meteorstrom: | sporadisch |
|
Bahnelemente des Meteoroiden:
| Periheldistanz: | 0,962 AU |
| Exzentrizität: | 1,062 |
| Inklination: | 141,8° |
| Länge des aufsteigenden Knotens: | 182,9° |
| Argument des Perihels: | 202,9° |
| Mittlere Anomalie: | -0,3° |
| Epoche: | 2025 SEP 26 02:58:30 |
|