🇳🇴 🇬🇧 🇩🇪 🇨🇿 🇫🇮

Meteor over Skjeberg 2025-09-26 03:39:00 UTC

KML-fil  |  Interaktivt kart

Kartet viser peilingene for meteoren. De lysere linjene viser retningene fra observasjonsstedene for meteorens tilsynekomst, og de mørkere linjene viser hvor den sist kunne sees. Den blå pila viser meteorens synlige ferd.

static map
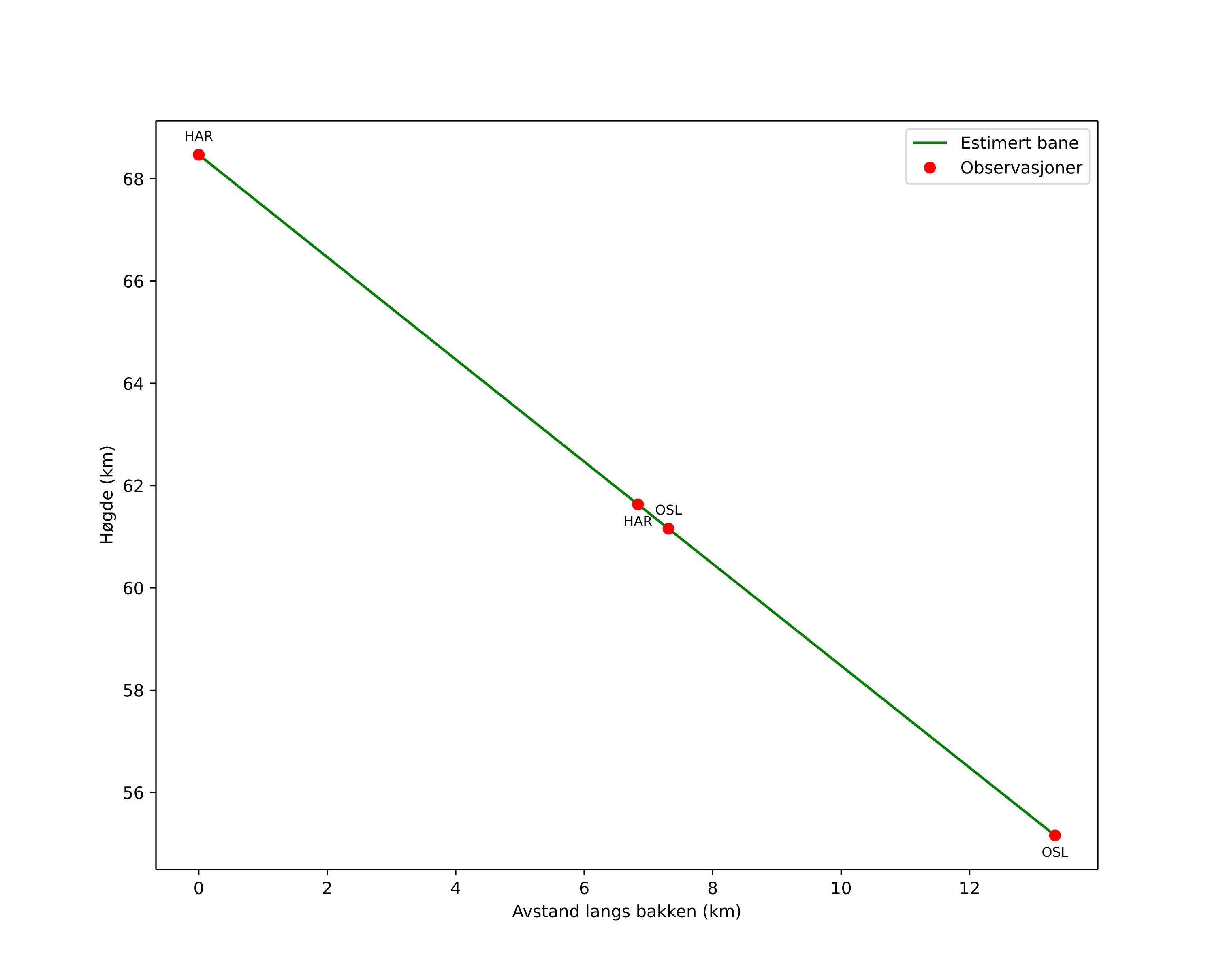
height profile
Meteorens atmosfæriske bane:
Starthøgde: 74,1 km
Slutthøgde: 60,6 km
Startposisjon: 59,299N 11,439E
Sluttposisjon: 59,286N 11,203E
Retning: 264,1°
Fallvinkel: 45,0°
Inngangshastighet: 46,2 km/s
Radiantens rektascensjon: 09:13 (138,3°)
Radiantens deklinasjon: 39,9°
Meteorsverm: sporadisk
Meteoroidens baneelement:
Perihelavstand: 0,196 AU
Eksentrisitet: 0,798
Inklinasjon: 102,7°
Knutelengde: 183,0°
Perihelargument: 35,7°
Midlere anomali: 46,5°
Epoke: 2025 SEP 26 03:39:00
orbit plot

Ikke-interaktivt plott | Interaktivt plott

position vs time
speed and acceleration

Harestua (HAR) cam3


gnomonic
Videoer
• Gnomonisk
• Gnomonisk med koordinater
• Original
• Original med koordinater
Bilder
• Gnomonisk
• Gnomonisk med koordinater
• Original
• Original med koordinater
Tekstfiler
• Deteksjon
• Observasjon
• Koordinater
• Logg
Lysstyrke

Voksenlia (OSL) cam4


gnomonic
Videoer
• Gnomonisk
• Gnomonisk med koordinater
• Original
• Original med koordinater
Bilder
• Gnomonisk
• Gnomonisk med koordinater
• Original
• Original med koordinater
Tekstfiler
• Deteksjon
• Observasjon
• Koordinater
• Logg
Lysstyrke