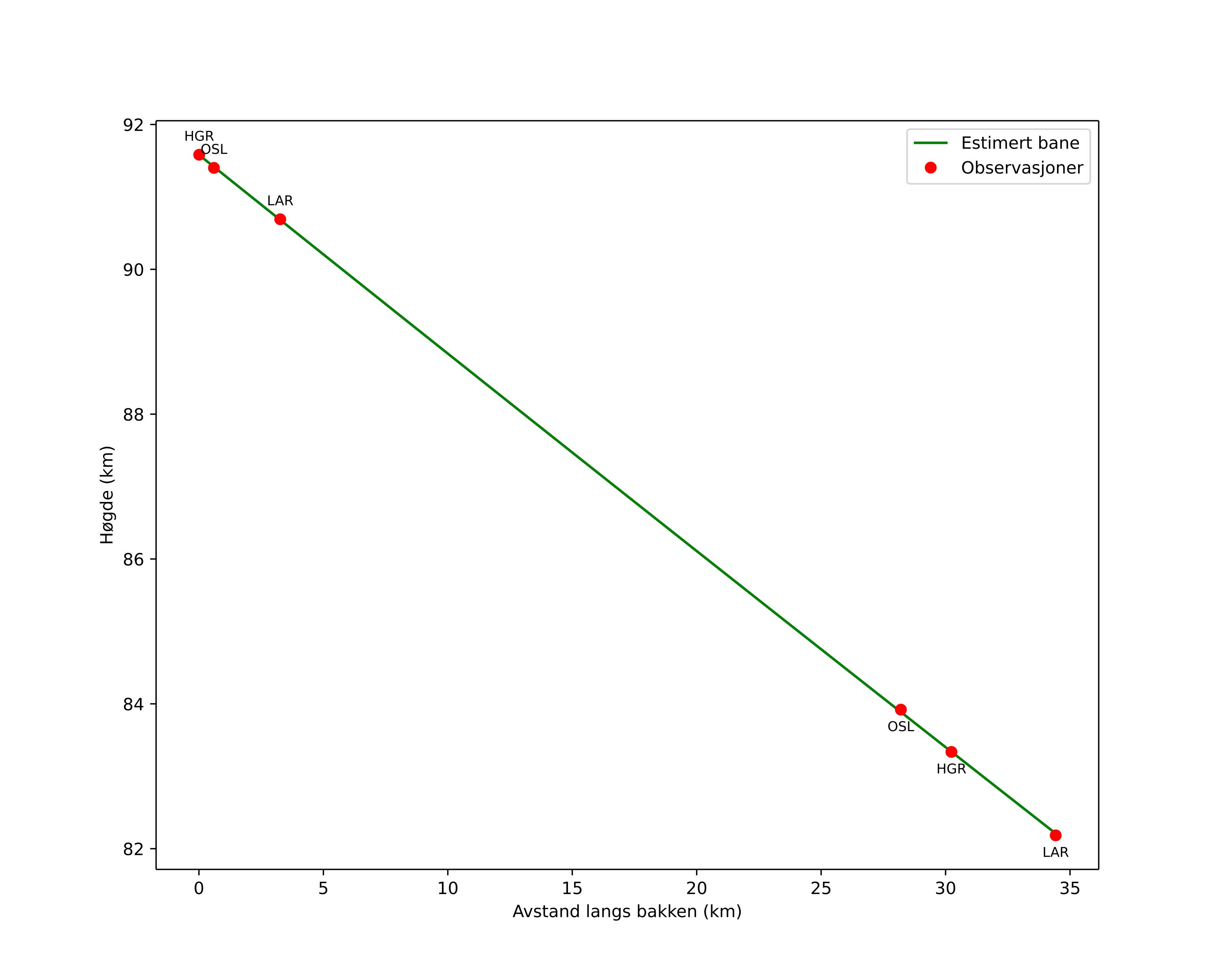
Atmosférická dráha meteoru:
| Počátečnà výška: | 91,5 km |
| Konečná výška: | 83,5 km |
| Počátečnà poloha: | 60,304N 8,150E |
| Konečná poloha: | 60,213N 7,635E |
| Směr: | 250,6° |
| Sklon: | 14,9° |
| VstupnĂ rychlost: | 41,6 km/s |
| Rektascenze radiantu: | 01:59 (29,9°) |
| Deklinace radiantu: | 21,0° |
| MeteorickĂ˝ roj: | sporadickĂ˝ |
|
Elementy dráhy meteoroidu:
| Vzdálenost v periheliu: | 0,066 AU |
| Excentricita: | 0,963 |
| Sklon dráhy: | 32,4° |
| Délka vzestupného uzlu: | 183,6° |
| Argument perihelia: | 334,6° |
| Střednà anomálie: | 346,6° |
| Epocha: | 2025 SEP 26 18:23:57 |
|