🇳🇴 🇬🇧 🇩🇪 🇨🇿 🇫🇮

Meteor over Forserum 2025-09-26 19:10:14 UTC

KML-fil  |  Interaktivt kart

Kartet viser peilingene for meteoren. De lysere linjene viser retningene fra observasjonsstedene for meteorens tilsynekomst, og de mørkere linjene viser hvor den sist kunne sees. Den blå pila viser meteorens synlige ferd.

static map
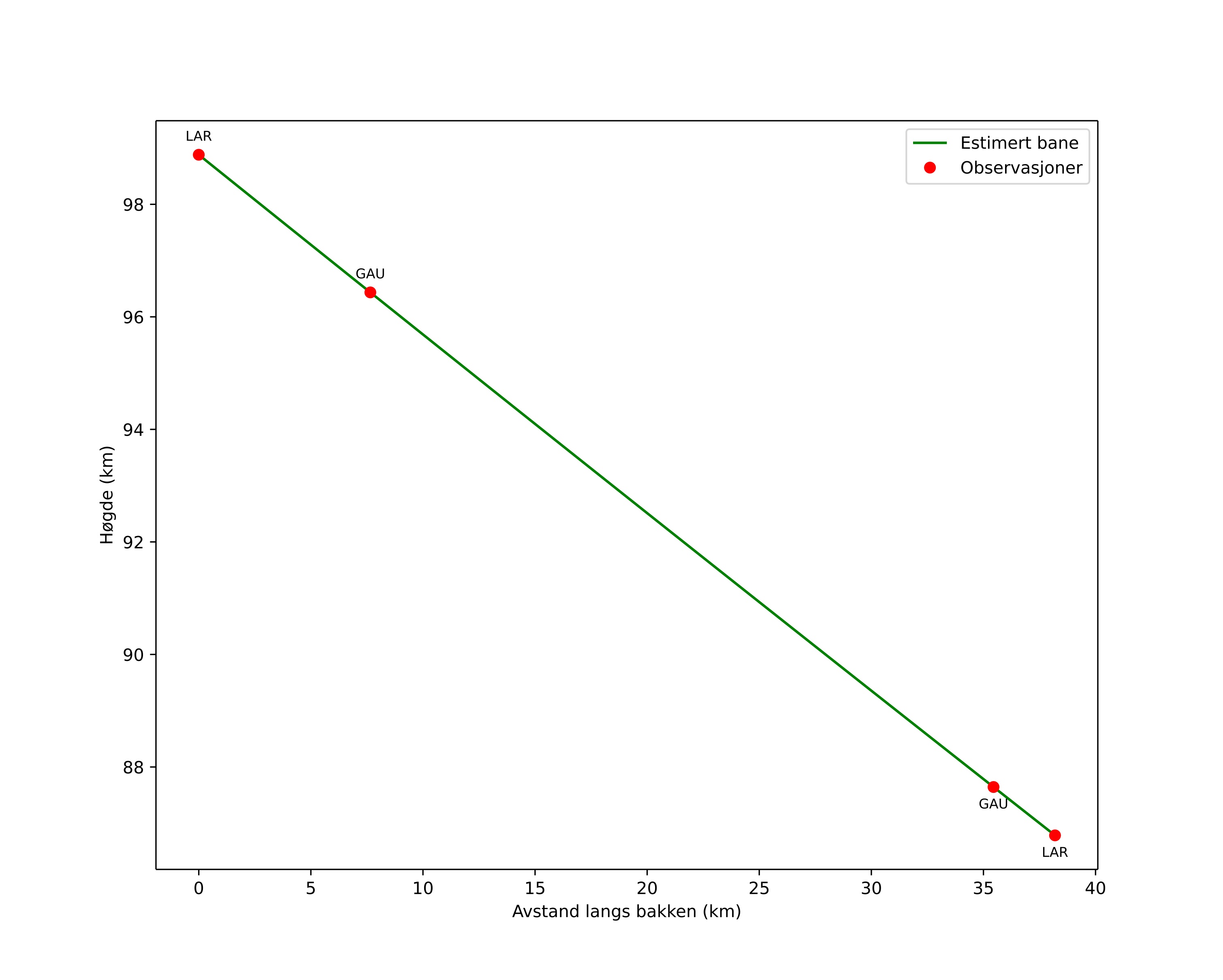
height profile
Meteorens atmosfæriske bane:
Starthøgde: 95,9 km
Slutthøgde: 87,3 km
Startposisjon: 57,798N 14,983E
Sluttposisjon: 57,758N 14,491E
Retning: 261,7°
Fallvinkel: 16,2°
Inngangshastighet: 36,2 km/s
Radiantens rektascensjon: 02:28 (37,2°)
Radiantens deklinasjon: 16,3°
Meteorsverm: sporadisk
Meteoroidens baneelement:
Perihelavstand: 0,051 AU
Eksentrisitet: 0,948
Inklinasjon: 5,5°
Knutelengde: 183,6°
Perihelargument: 341,7°
Midlere anomali: 323,3°
Epoke: 2025 SEP 26 19:10:14
orbit plot

Ikke-interaktivt plott | Interaktivt plott

position vs time
speed and acceleration

Gaustatoppen (GAU) cam3


gnomonic
Videoer
• Gnomonisk
• Gnomonisk med koordinater
• Original
• Original med koordinater
Bilder
• Gnomonisk
• Gnomonisk med koordinater
• Original
• Original med koordinater
Tekstfiler
• Deteksjon
• Observasjon
• Koordinater
• Logg
Lysstyrke

Larvik (LAR) cam3


gnomonic
Videoer
• Gnomonisk
• Gnomonisk med koordinater
• Original
• Original med koordinater
Bilder
• Gnomonisk
• Gnomonisk med koordinater
• Original
• Original med koordinater
Tekstfiler
• Deteksjon
• Observasjon
• Koordinater
• Logg
Lysstyrke