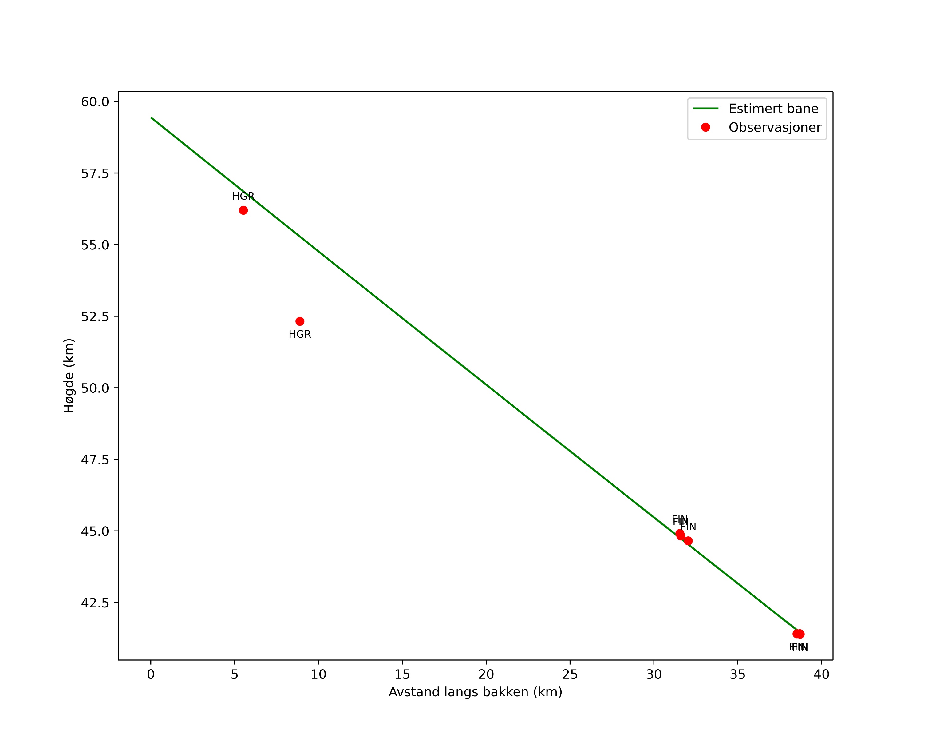
Atmosphärische Bahn des Meteors:
| Anfangshöhe: | 62,6 km |
| Endhöhe: | 40,9 km |
| Startposition: | 61,506N 12,584E |
| Endposition: | 61,537N 13,186E |
| Richtung: | 83,5° |
| Neigungswinkel: | 34,1° |
| Eintrittsgeschwindigkeit: | 11,6 km/s |
| Rektaszension des Radianten: | 15:47 (236,9°) |
| Deklination des Radianten: | 0,4° |
| Meteorstrom: | sporadisch |
|
Bahnelemente des Meteoroiden:
| Periheldistanz: | 0,993 AU |
| Exzentrizität: | 0,218 |
| Inklination: | 2,4° |
| Länge des aufsteigenden Knotens: | 183,6° |
| Argument des Perihels: | 161,4° |
| Mittlere Anomalie: | 11,8° |
| Epoche: | 2025 SEP 26 20:05:55 |
|