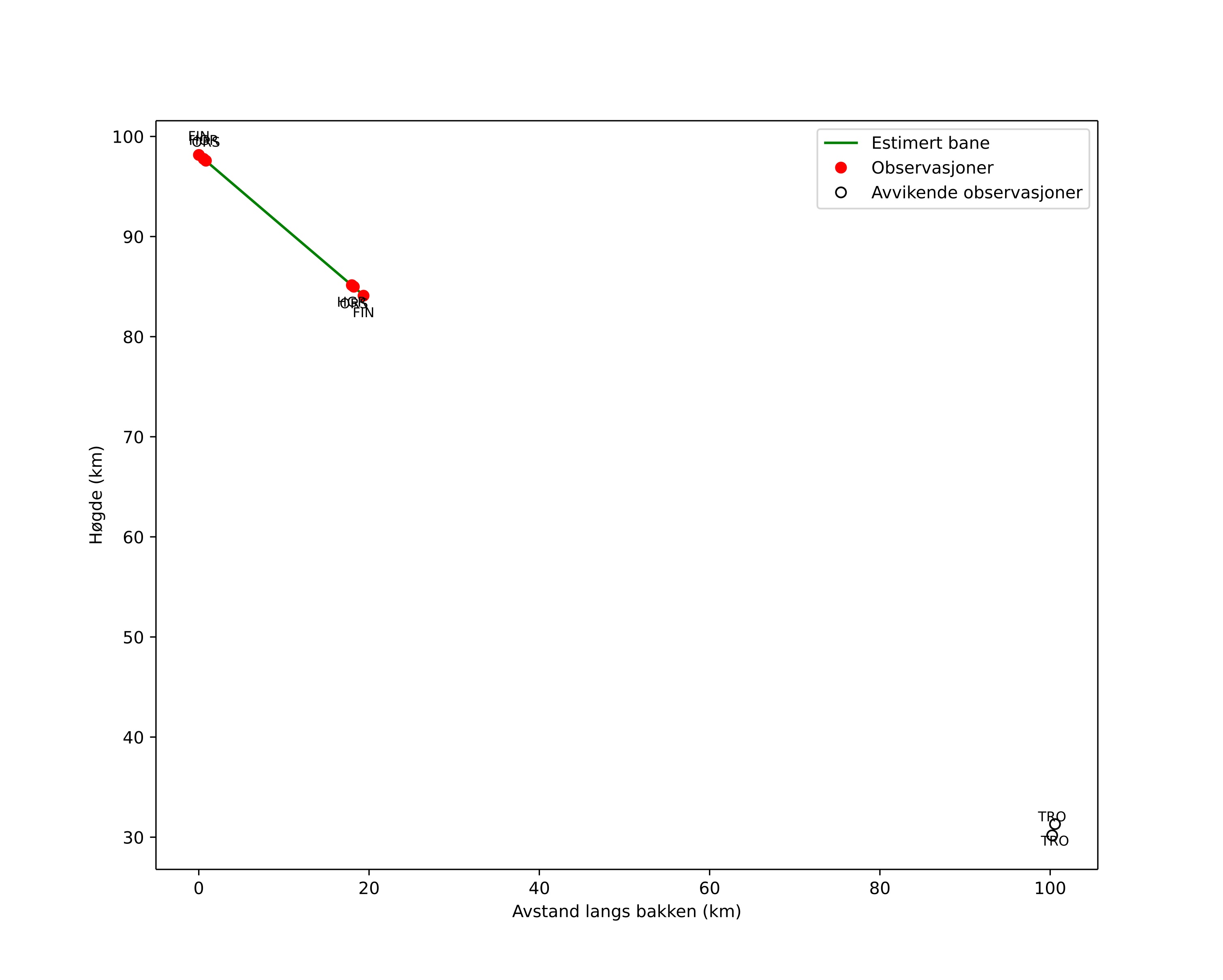
Atmosphärische Bahn des Meteors:
| Anfangshöhe: | 98,4 km |
| Endhöhe: | 84,7 km |
| Startposition: | 62,708N 10,863E |
| Endposition: | 62,611N 10,558E |
| Richtung: | 235,3° |
| Neigungswinkel: | 35,9° |
| Eintrittsgeschwindigkeit: | 73,0 km/s |
| Rektaszension des Radianten: | 06:31 (97,8°) |
| Deklination des Radianten: | 46,9° |
| Meteorstrom: | sporadisch |
|
Bahnelemente des Meteoroiden:
| Periheldistanz: | 1,001 AU |
| Exzentrizität: | 1,427 |
| Inklination: | 141,4° |
| Länge des aufsteigenden Knotens: | 183,7° |
| Argument des Perihels: | 176,1° |
| Mittlere Anomalie: | 0,7° |
| Epoche: | 2025 SEP 26 22:37:15 |
|