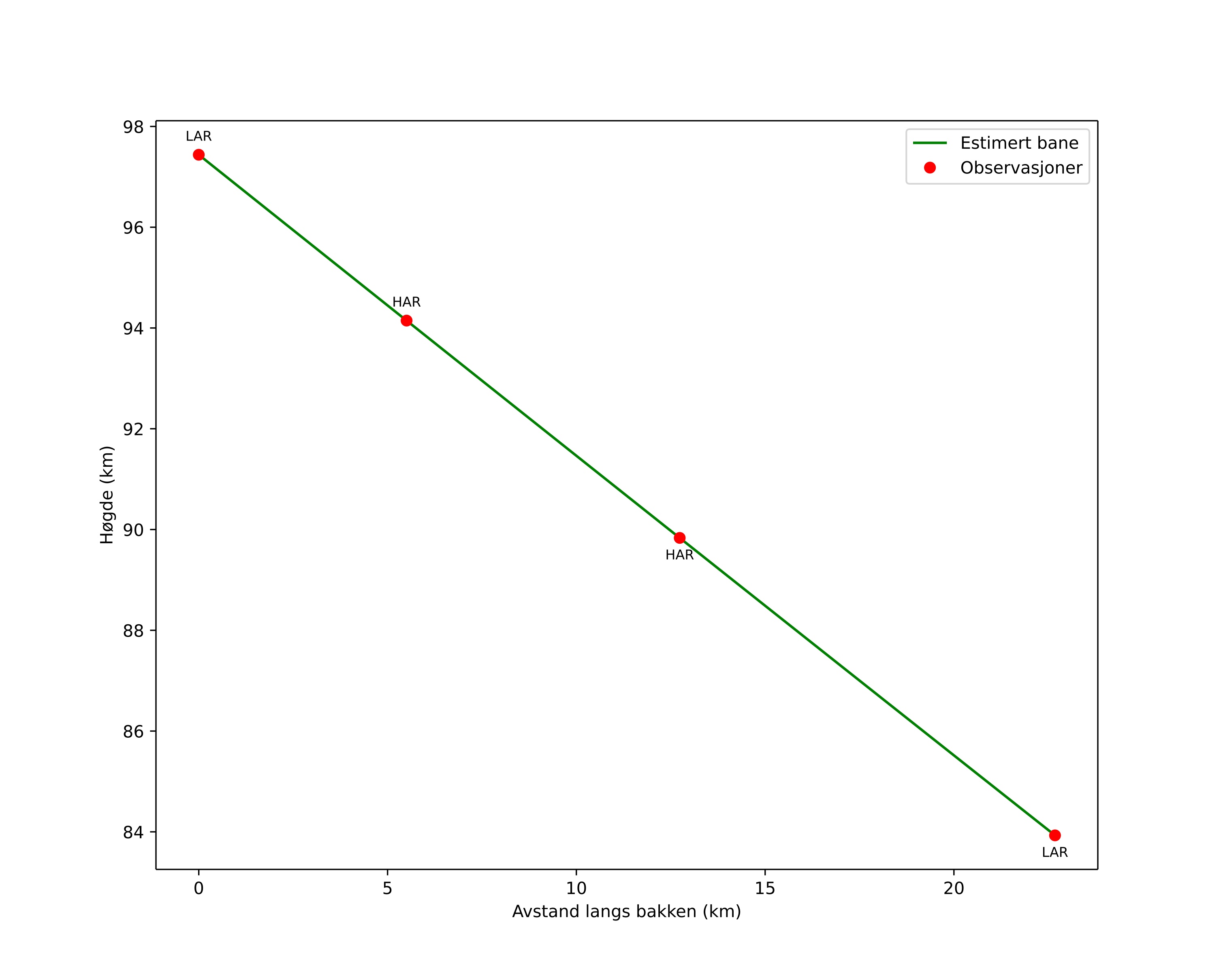
Atmosférická dráha meteoru:
| Počátečnà výška: | 97,3 km |
| Konečná výška: | 86,1 km |
| Počátečnà poloha: | 59,482N 10,368E |
| Konečná poloha: | 59,340N 10,558E |
| Směr: | 145,6° |
| Sklon: | 30,4° |
| VstupnĂ rychlost: | 22,2 km/s |
| Rektascenze radiantu: | 16:54 (253,6°) |
| Deklinace radiantu: | 48,4° |
| MeteorickĂ˝ roj: | sporadickĂ˝ |
|
Elementy dráhy meteoroidu:
| Vzdálenost v periheliu: | 0,994 AU |
| Excentricita: | 0,774 |
| Sklon dráhy: | 27,4° |
| Délka vzestupného uzlu: | 183,8° |
| Argument perihelia: | 168,4° |
| Střednà anomálie: | 0,9° |
| Epocha: | 2025 SEP 27 00:25:21 |
|