🇳🇴 🇬🇧 🇩🇪 🇨🇿 🇫🇮

Meteor over Birkeland 2025-09-27 01:42:47 UTC

KML-fil  |  Interaktivt kart

Kartet viser peilingene for meteoren. De lysere linjene viser retningene fra observasjonsstedene for meteorens tilsynekomst, og de mørkere linjene viser hvor den sist kunne sees. Den blå pila viser meteorens synlige ferd.

static map
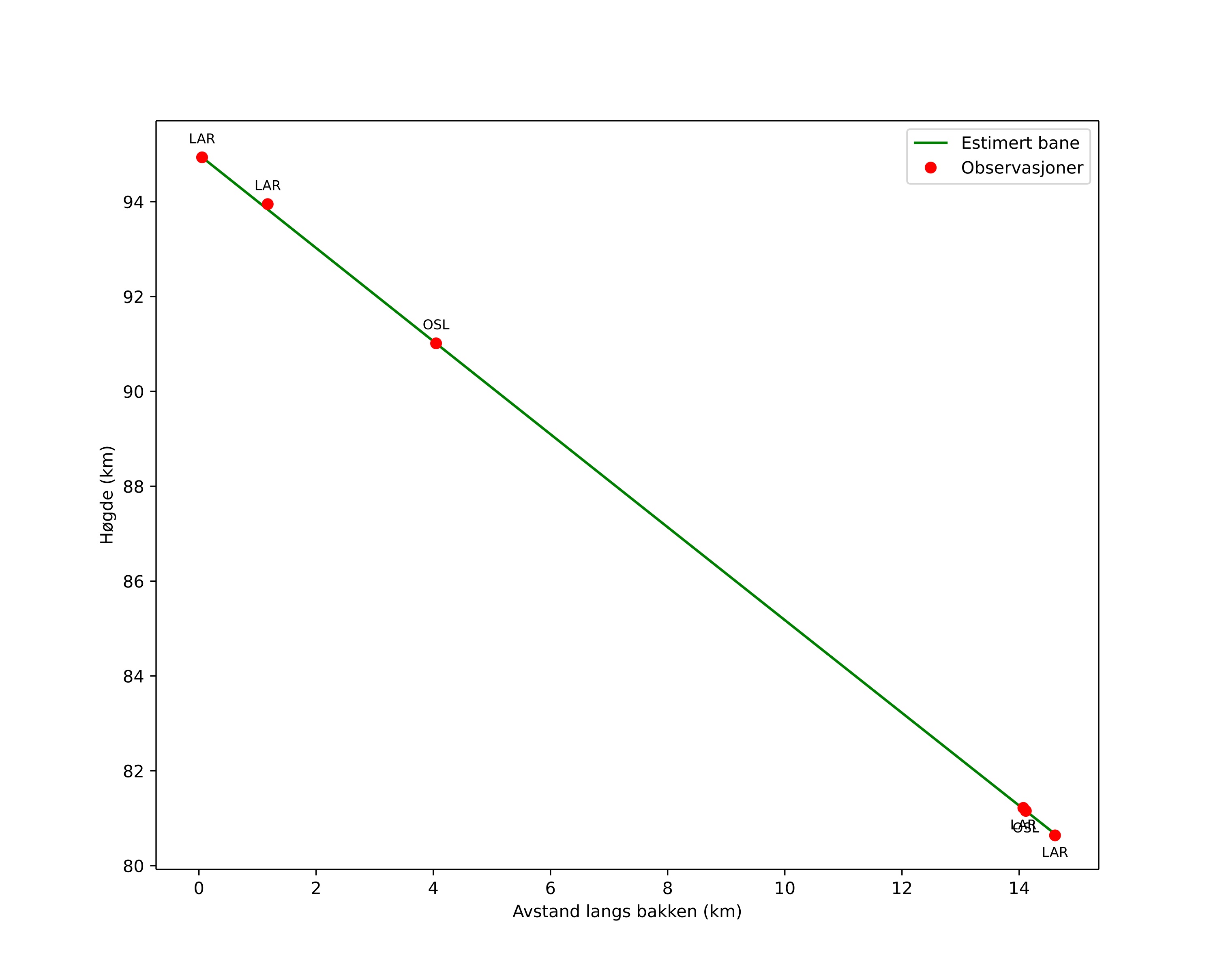
height profile
Meteorens atmosfæriske bane:
Starthøgde: 95,2 km
Slutthøgde: 80,8 km
Startposisjon: 58,233N 8,253E
Sluttposisjon: 58,360N 8,191E
Retning: 345,8°
Fallvinkel: 44,6°
Inngangshastighet: 67,4 km/s
Radiantens rektascensjon: 03:19 (49,8°)
Radiantens deklinasjon: 13,1°
Meteorsverm: sporadisk
Meteoroidens baneelement:
Perihelavstand: 0,202 AU
Eksentrisitet: 1,159
Inklinasjon: 162,5°
Knutelengde: 3,9°
Perihelargument: 119,2°
Midlere anomali: -20,9°
Epoke: 2025 SEP 27 01:42:47
orbit plot

Ikke-interaktivt plott | Interaktivt plott

position vs time
speed and acceleration

Larvik (LAR) cam4


gnomonic
Videoer
• Gnomonisk
• Gnomonisk med koordinater
• Original
• Original med koordinater
Bilder
• Gnomonisk
• Gnomonisk med koordinater
• Original
• Original med koordinater
Tekstfiler
• Deteksjon
• Observasjon
• Koordinater
• Logg
Lysstyrke

Larvik (LAR) cam5


gnomonic
Videoer
• Gnomonisk
• Gnomonisk med koordinater
• Original
• Original med koordinater
Bilder
• Gnomonisk
• Gnomonisk med koordinater
• Original
• Original med koordinater
Tekstfiler
• Deteksjon
• Observasjon
• Koordinater
• Logg
Lysstyrke

Voksenlia (OSL) cam3


gnomonic
Videoer
• Gnomonisk
• Gnomonisk med koordinater
• Original
• Original med koordinater
Bilder
• Gnomonisk
• Gnomonisk med koordinater
• Original
• Original med koordinater
Tekstfiler
• Deteksjon
• Observasjon
• Koordinater
• Logg
Lysstyrke