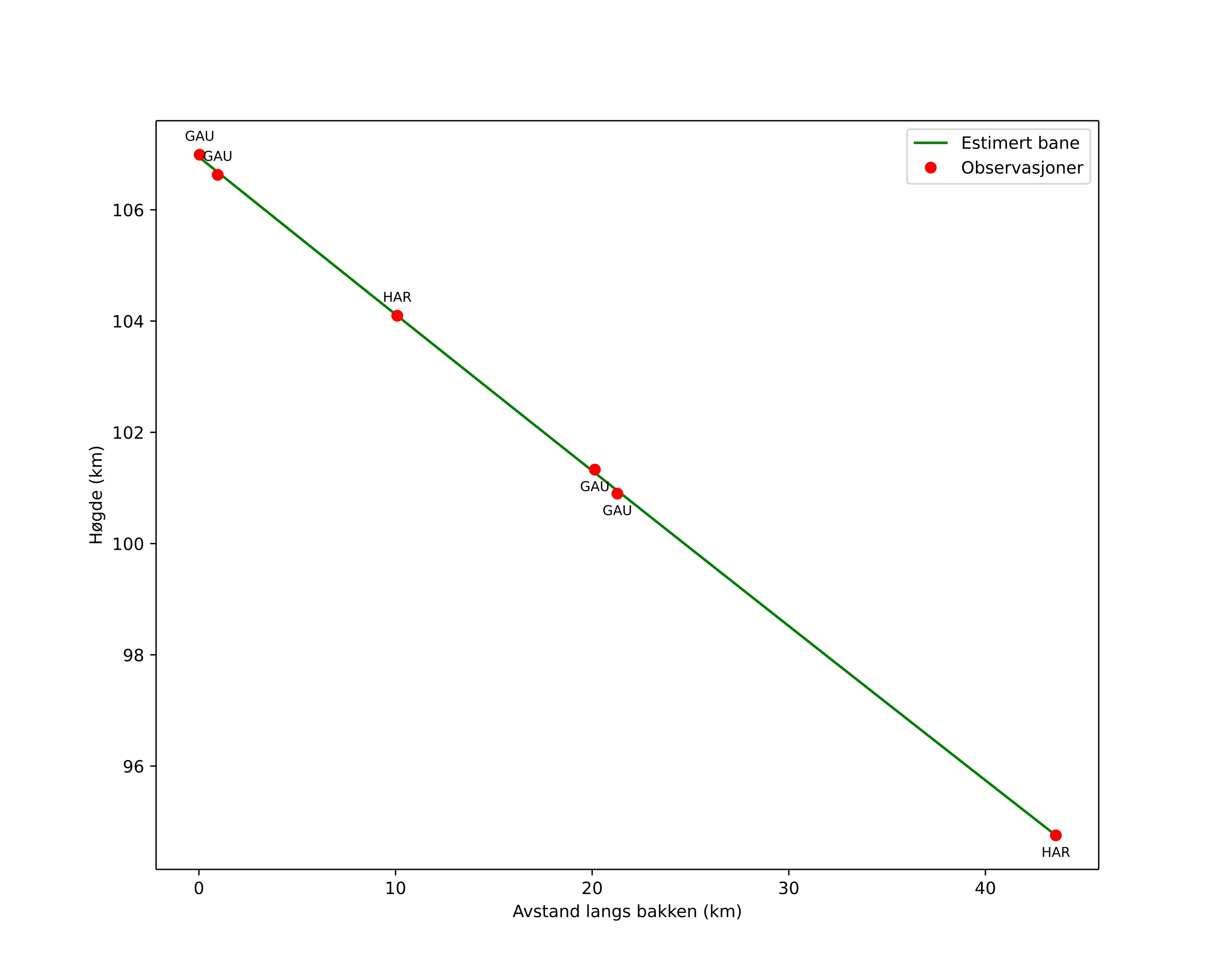
Atmosférická dráha meteoru:
| Počátečnà výška: | 106,8 km |
| Konečná výška: | 95,9 km |
| Počátečnà poloha: | 58,852N 8,117E |
| Konečná poloha: | 59,093N 7,605E |
| Směr: | 312,5° |
| Sklon: | 15,4° |
| VstupnĂ rychlost: | 63,4 km/s |
| Rektascenze radiantu: | 05:50 (87,6°) |
| Deklinace radiantu: | -7,0° |
| MeteorickĂ˝ roj: | sporadickĂ˝ |
|
Elementy dráhy meteoroidu:
| Vzdálenost v periheliu: | 0,971 AU |
| Excentricita: | 0,810 |
| Sklon dráhy: | 126,9° |
| Délka vzestupného uzlu: | 3,9° |
| Argument perihelia: | 21,6° |
| Střednà anomálie: | 358,6° |
| Epocha: | 2025 SEP 27 01:52:08 |
|