🇳🇴 🇬🇧 🇩🇪 🇨🇿 🇫🇮

Meteor over Kongsvinger 2025-09-27 02:31:23 UTC

KML-fil  |  Interaktivt kart

Kartet viser peilingene for meteoren. De lysere linjene viser retningene fra observasjonsstedene for meteorens tilsynekomst, og de mørkere linjene viser hvor den sist kunne sees. Den blå pila viser meteorens synlige ferd.

static map
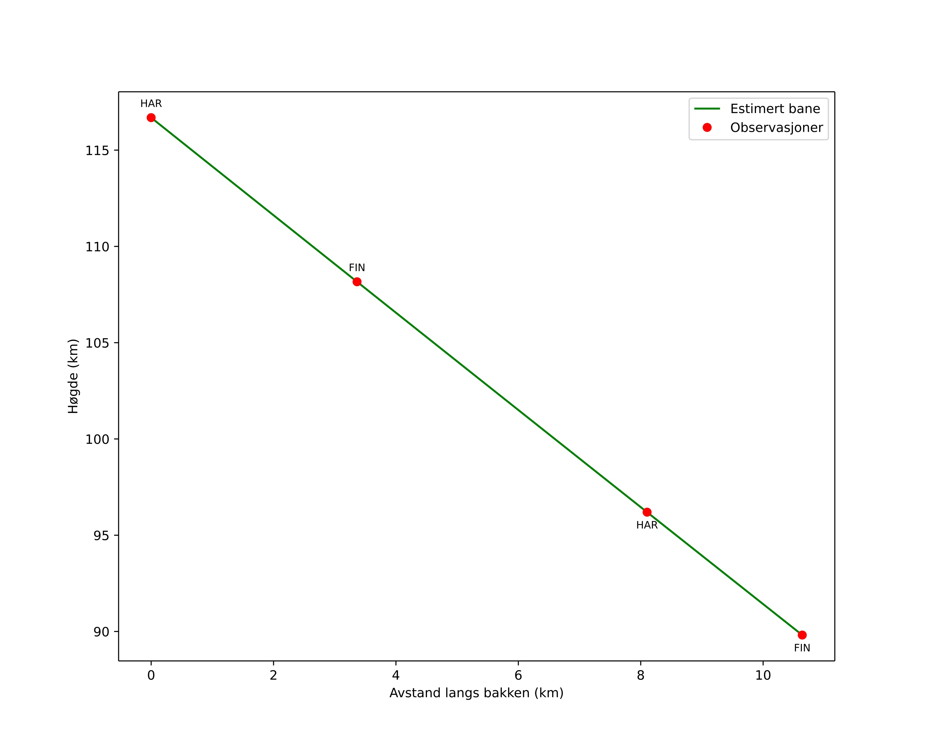
height profile
Meteorens atmosfæriske bane:
Starthøgde: 114,6 km
Slutthøgde: 89,3 km
Startposisjon: 60,356N 12,158E
Sluttposisjon: 60,334N 11,981E
Retning: 255,6°
Fallvinkel: 68,4°
Inngangshastighet: 68,3 km/s
Radiantens rektascensjon: 06:34 (98,5°)
Radiantens deklinasjon: 58,5°
Meteorsverm: sporadisk
Meteoroidens baneelement:
Perihelavstand: 1,002 AU
Eksentrisitet: 1,430
Inklinasjon: 123,0°
Knutelengde: 183,9°
Perihelargument: 177,9°
Midlere anomali: 0,4°
Epoke: 2025 SEP 27 02:31:23
orbit plot

Ikke-interaktivt plott | Interaktivt plott

position vs time
speed and acceleration

Finnskogen (FIN) cam7


gnomonic
Videoer
• Gnomonisk
• Gnomonisk med koordinater
• Original
• Original med koordinater
Bilder
• Gnomonisk
• Gnomonisk med koordinater
• Original
• Original med koordinater
Tekstfiler
• Deteksjon
• Observasjon
• Koordinater
• Logg
Lysstyrke

Harestua (HAR) cam6


gnomonic
Videoer
• Gnomonisk
• Gnomonisk med koordinater
• Original
• Original med koordinater
Bilder
• Gnomonisk
• Gnomonisk med koordinater
• Original
• Original med koordinater
Tekstfiler
• Deteksjon
• Observasjon
• Koordinater
• Logg
Lysstyrke