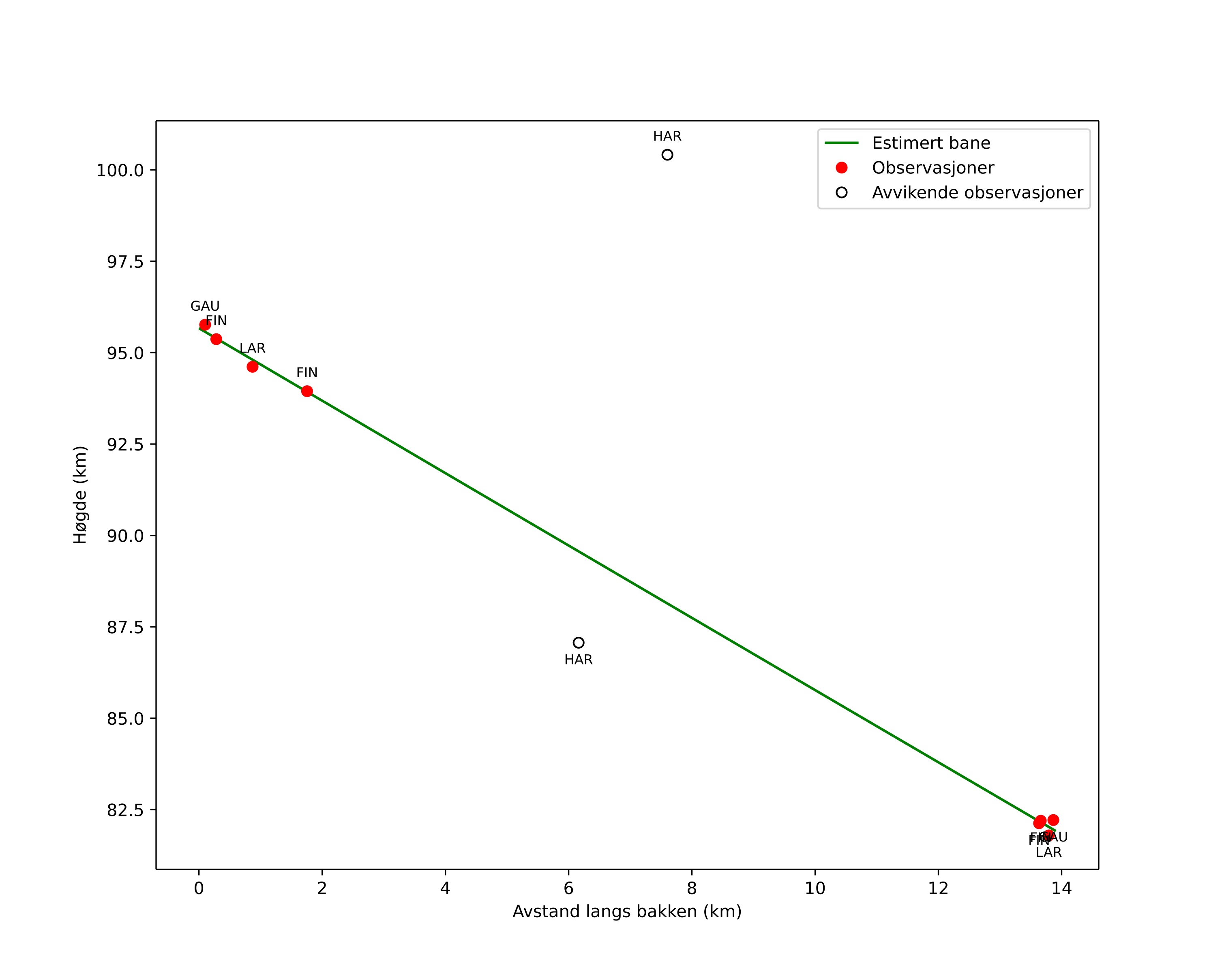
Atmosférická dráha meteoru:
| Počátečnà výška: | 98,0 km |
| Konečná výška: | 81,6 km |
| Počátečnà poloha: | 59,357N 13,396E |
| Konečná poloha: | 59,215N 13,345E |
| Směr: | 190,4° |
| Sklon: | 45,5° |
| VstupnĂ rychlost: | 33,8 km/s |
| Rektascenze radiantu: | 14:41 (220,3°) |
| Deklinace radiantu: | 73,9° |
| MeteorickĂ˝ roj: | sporadickĂ˝ |
|
Elementy dráhy meteoroidu:
| Vzdálenost v periheliu: | 0,974 AU |
| Excentricita: | 0,657 |
| Sklon dráhy: | 53,8° |
| Délka vzestupného uzlu: | 183,9° |
| Argument perihelia: | 158,1° |
| Střednà anomálie: | 3,5° |
| Epocha: | 2025 SEP 27 03:07:17 |
|