🇳🇴 🇬🇧 🇩🇪 🇨🇿 🇫🇮

Meteor over Hansnes 2025-09-27 18:46:24 UTC

KML-fil  |  Interaktivt kart

Kartet viser peilingene for meteoren. De lysere linjene viser retningene fra observasjonsstedene for meteorens tilsynekomst, og de mørkere linjene viser hvor den sist kunne sees. Den blå pila viser meteorens synlige ferd.

static map
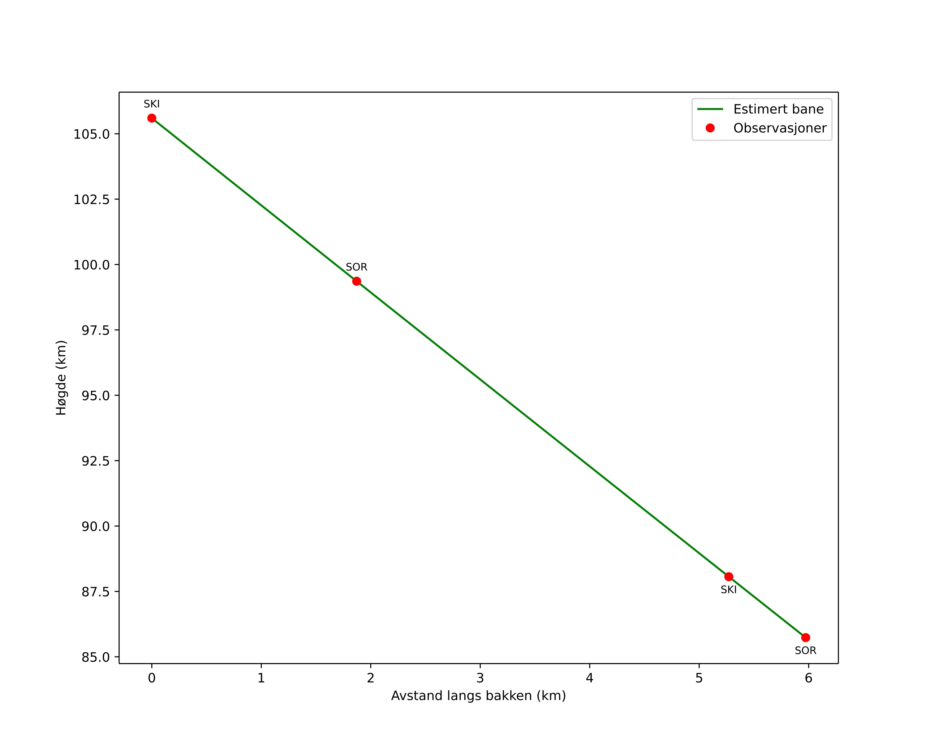
height profile
Meteorens atmosfæriske bane:
Starthøgde: 102,7 km
Slutthøgde: 84,1 km
Startposisjon: 70,546N 19,901E
Sluttposisjon: 70,503N 19,973E
Retning: 150,5°
Fallvinkel: 73,6°
Inngangshastighet: 37,0 km/s
Radiantens rektascensjon: 16:34 (248,6°)
Radiantens deklinasjon: 80,3°
Meteorsverm: sporadisk
Meteoroidens baneelement:
Perihelavstand: 1,002 AU
Eksentrisitet: 0,808
Inklinasjon: 58,7°
Knutelengde: 184,6°
Perihelargument: 176,9°
Midlere anomali: 0,2°
Epoke: 2025 SEP 27 18:46:24
orbit plot

Ikke-interaktivt plott | Interaktivt plott

position vs time
speed and acceleration

Skibotn (SKI) cam1


gnomonic
Videoer
• Gnomonisk
• Gnomonisk med koordinater
• Original
• Original med koordinater
Bilder
• Gnomonisk
• Gnomonisk med koordinater
• Original
• Original med koordinater
Tekstfiler
• Deteksjon
• Observasjon
• Koordinater
• Logg
Lysstyrke

Sorreisa (SOR) cam1


gnomonic
Videoer
• Gnomonisk
• Gnomonisk med koordinater
• Original
• Original med koordinater
Bilder
• Gnomonisk
• Gnomonisk med koordinater
• Original
• Original med koordinater
Tekstfiler
• Deteksjon
• Observasjon
• Koordinater
• Logg
Lysstyrke