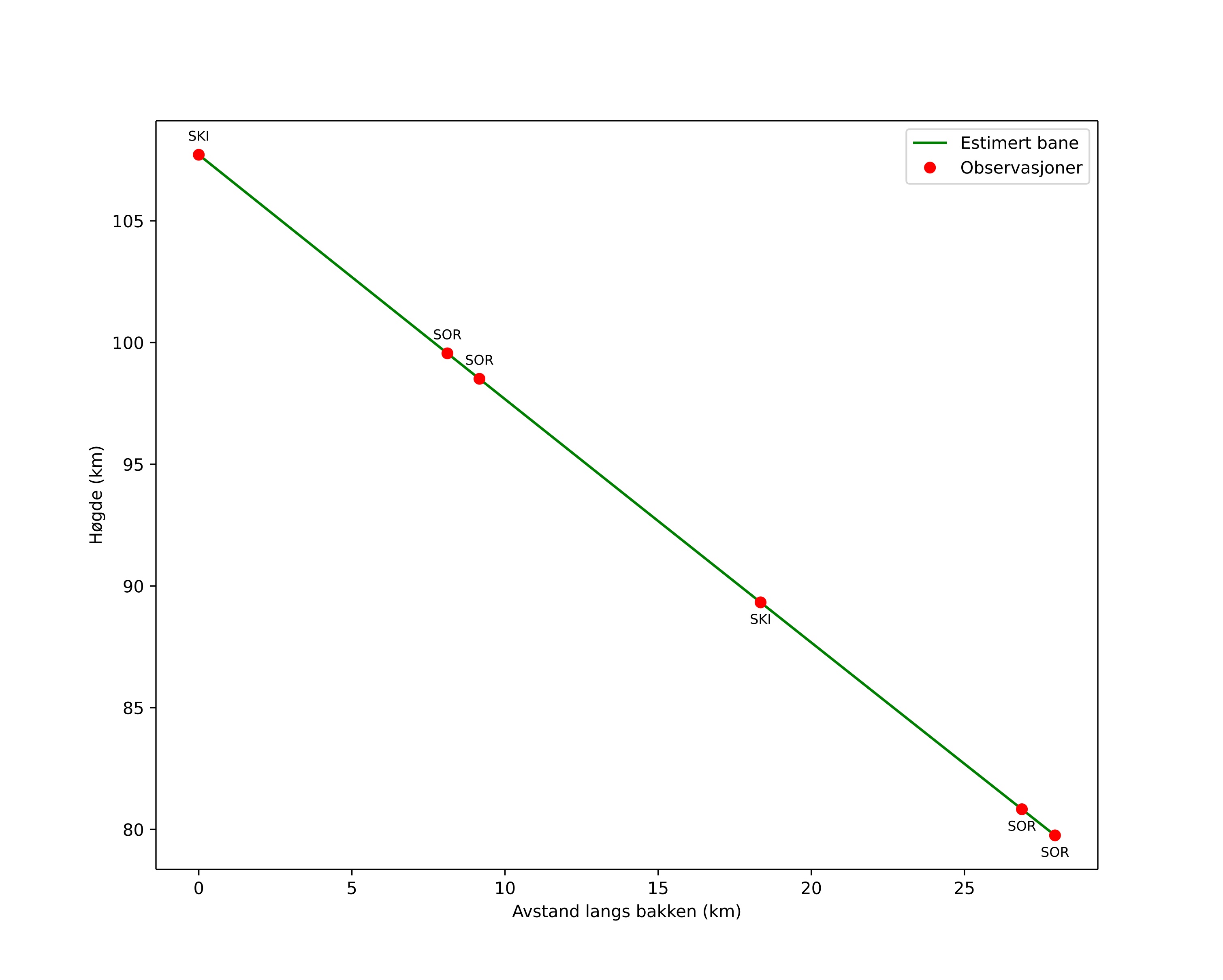
Atmosférická dráha meteoru:
| Počátečnà výška: | 108,7 km |
| Konečná výška: | 81,4 km |
| Počátečnà poloha: | 67,460N 17,042E |
| Konečná poloha: | 67,184N 16,859E |
| Směr: | 194,5° |
| Sklon: | 40,8° |
| VstupnĂ rychlost: | 56,0 km/s |
| Rektascenze radiantu: | 07:11 (108,0°) |
| Deklinace radiantu: | 61,8° |
| MeteorickĂ˝ roj: | sporadickĂ˝ |
|
Elementy dráhy meteoroidu:
| Vzdálenost v periheliu: | 0,985 AU |
| Excentricita: | 0,559 |
| Sklon dráhy: | 110,0° |
| Délka vzestupného uzlu: | 184,6° |
| Argument perihelia: | 162,1° |
| Střednà anomálie: | 4,2° |
| Epocha: | 2025 SEP 27 19:12:47 |
|