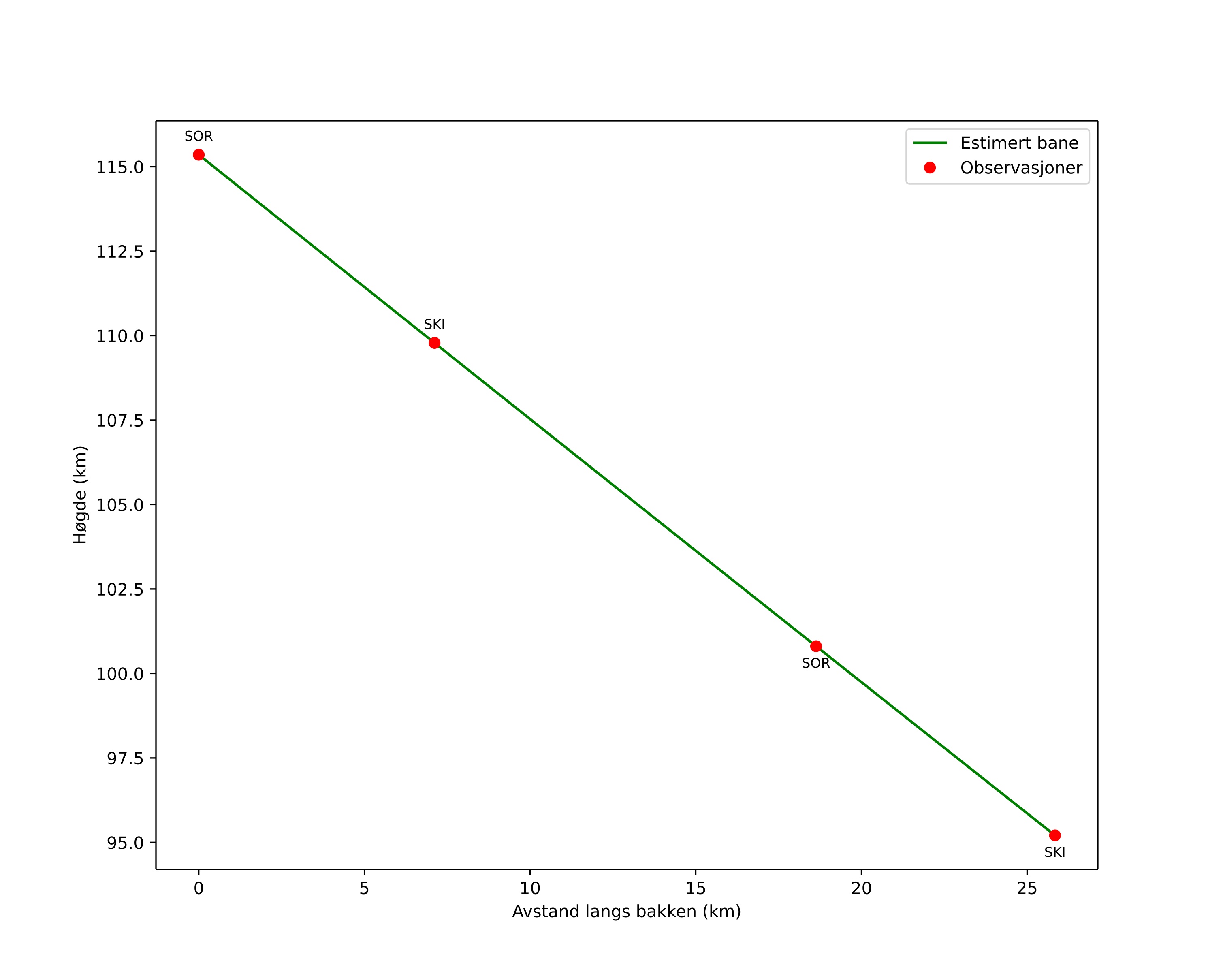
Atmosférická dráha meteoru:
| Počátečnà výška: | 116,0 km |
| Konečná výška: | 94,4 km |
| Počátečnà poloha: | 67,921N 23,743E |
| Konečná poloha: | 67,824N 23,133E |
| Směr: | 247,3° |
| Sklon: | 37,9° |
| VstupnĂ rychlost: | 73,4 km/s |
| Rektascenze radiantu: | 04:48 (72,1°) |
| Deklinace radiantu: | 42,9° |
| MeteorickĂ˝ roj: | sporadickĂ˝ |
|
Elementy dráhy meteoroidu:
| Vzdálenost v periheliu: | 0,826 AU |
| Excentricita: | 1,514 |
| Sklon dráhy: | 144,1° |
| Délka vzestupného uzlu: | 184,6° |
| Argument perihelia: | 224,9° |
| Střednà anomálie: | -11,9° |
| Epocha: | 2025 SEP 27 20:31:30 |
|