Atmosphärische Bahn des Meteors:
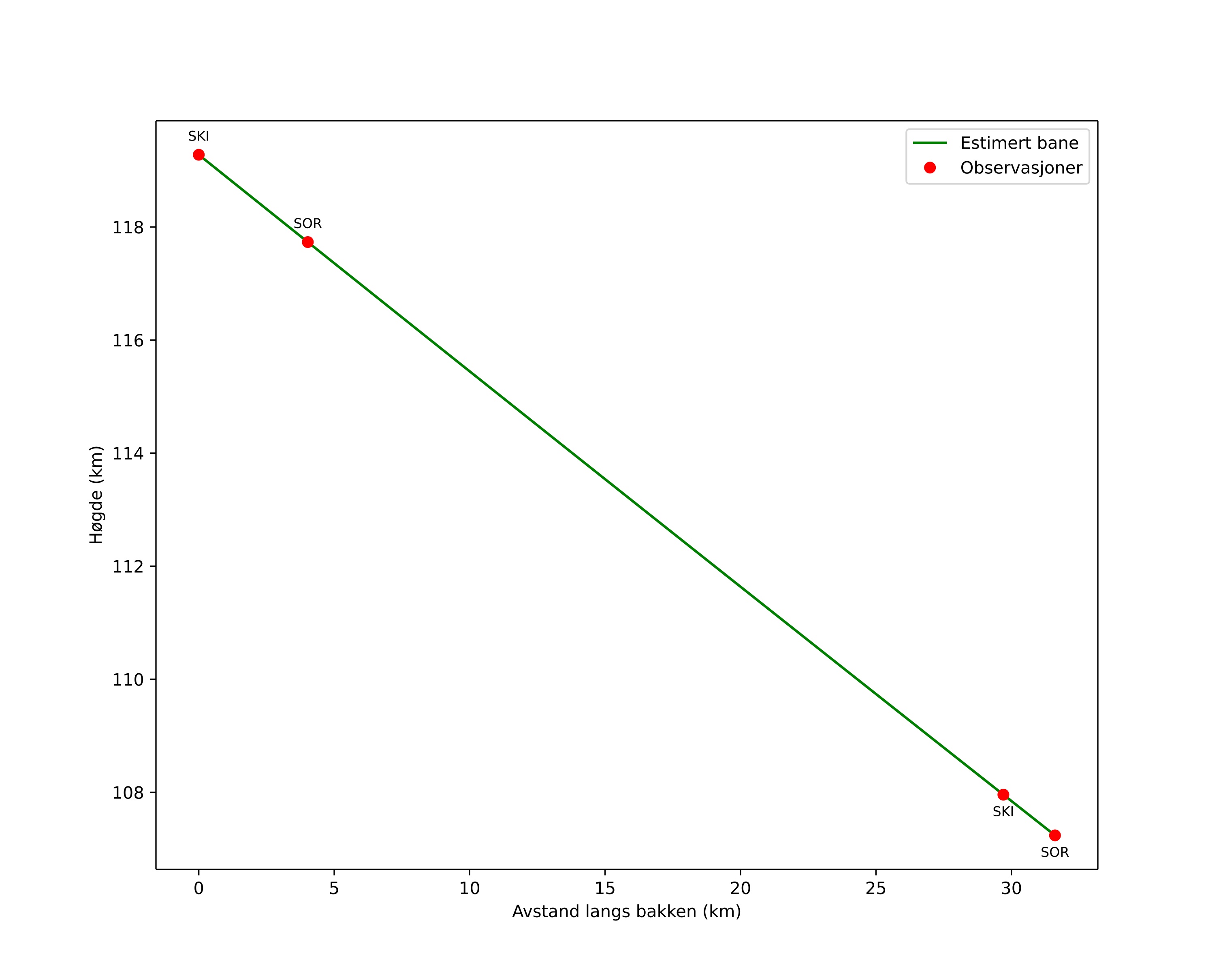
| Anfangshöhe: | 116,7 km |
| Endhöhe: | 110,0 km |
| Startposition: | 70,035N 20,564E |
| Endposition: | 70,125N 20,195E |
| Richtung: | 305,6° |
| Neigungswinkel: | 21,3° |
| Eintrittsgeschwindigkeit: | 72,8 km/s |
| Rektaszension des Radianten: | 05:30 (82,7°) |
| Deklination des Radianten: | 8,6° |
| Meteorstrom: | sporadisch |
|
Bahnelemente des Meteoroiden:
| Periheldistanz: | 0,899 AU |
| Exzentrizität: | 1,254 |
| Inklination: | 154,5° |
| Länge des aufsteigenden Knotens: | 4,8° |
| Argument des Perihels: | 35,4° |
| Mittlere Anomalie: | -3,3° |
| Epoche: | 2025 SEP 28 00:21:46 |
|