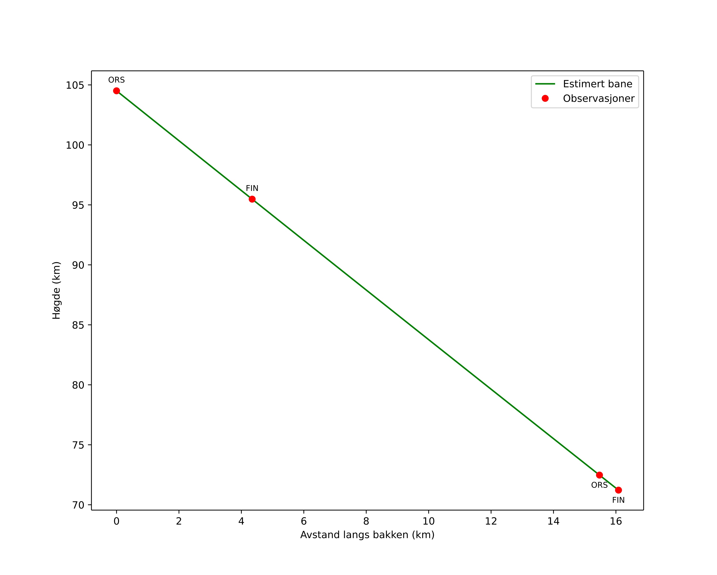
Atmosphärische Bahn des Meteors:
| Anfangshöhe: | 103,4 km |
| Endhöhe: | 71,1 km |
| Startposition: | 61,834N 6,496E |
| Endposition: | 61,973N 6,459E |
| Richtung: | 352,9° |
| Neigungswinkel: | 64,3° |
| Eintrittsgeschwindigkeit: | 66,5 km/s |
| Rektaszension des Radianten: | 03:43 (55,8°) |
| Deklination des Radianten: | 35,9° |
| Meteorstrom: | sporadisch |
|
Bahnelemente des Meteoroiden:
| Periheldistanz: | 0,447 AU |
| Exzentrizität: | 1,152 |
| Inklination: | 142,4° |
| Länge des aufsteigenden Knotens: | 184,9° |
| Argument des Perihels: | 272,0° |
| Mittlere Anomalie: | -7,0° |
| Epoche: | 2025 SEP 28 02:36:27 |
|