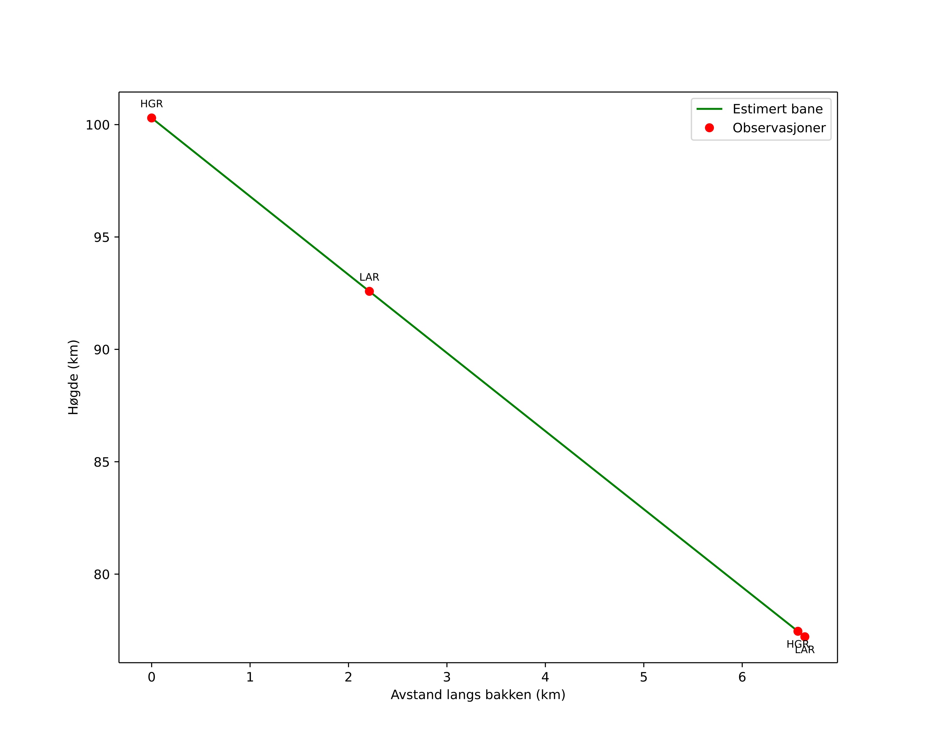
Atmosférická dráha meteoru:
| Počátečnà výška: | 99,6 km |
| Konečná výška: | 76,0 km |
| Počátečnà poloha: | 58,237N 7,738E |
| Konečná poloha: | 58,170N 7,722E |
| Směr: | 187,6° |
| Sklon: | 72,5° |
| VstupnĂ rychlost: | 42,0 km/s |
| Rektascenze radiantu: | 00:40 (10,0°) |
| Deklinace radiantu: | 75,5° |
| MeteorickĂ˝ roj: | sporadickĂ˝ |
|
Elementy dráhy meteoroidu:
| Vzdálenost v periheliu: | 0,890 AU |
| Excentricita: | 0,830 |
| Sklon dráhy: | 68,3° |
| Délka vzestupného uzlu: | 187,7° |
| Argument perihelia: | 221,0° |
| Střednà anomálie: | 357,7° |
| Epocha: | 2025 SEP 30 22:59:41 |
|