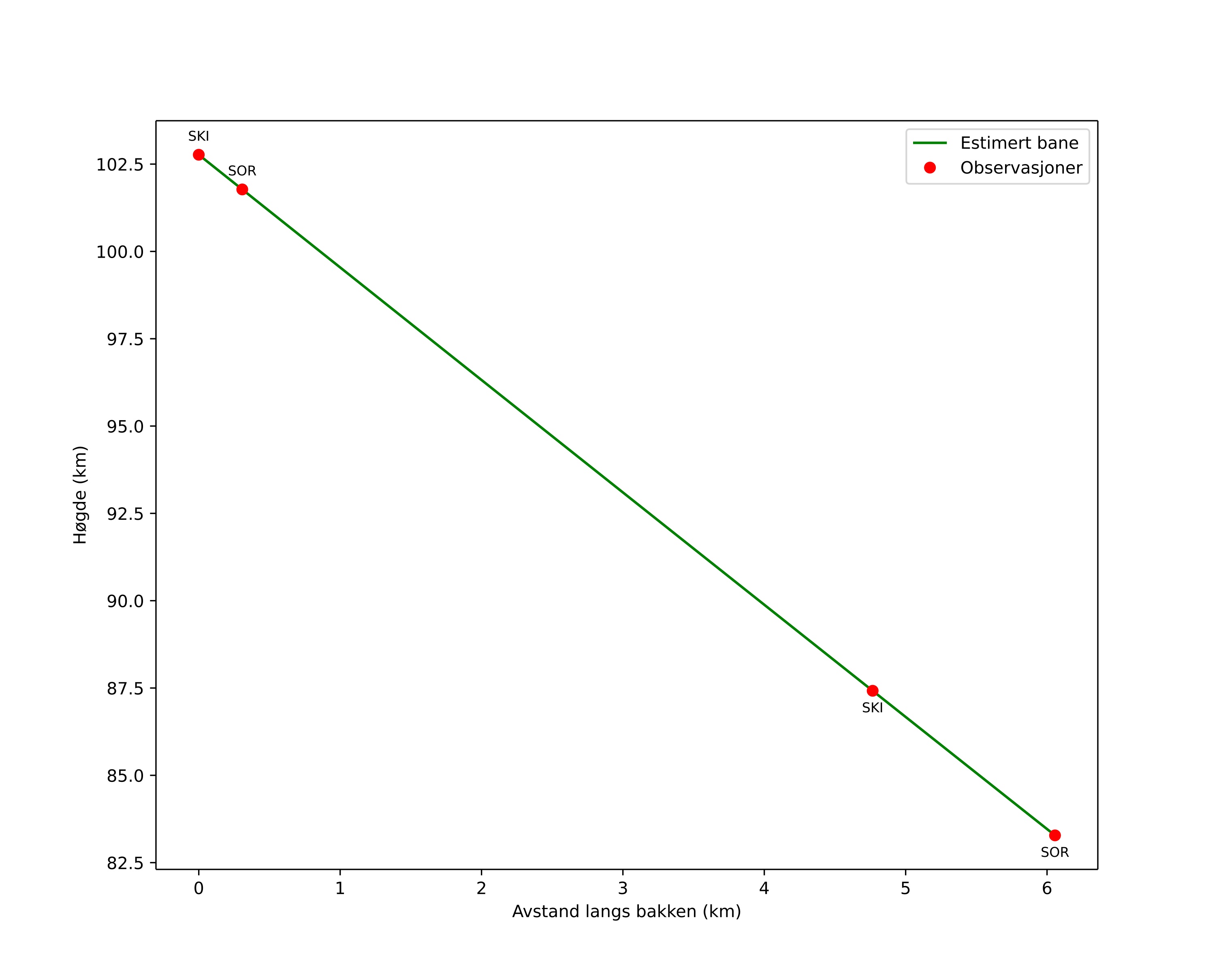
Atmosphärische Bahn des Meteors:
| Anfangshöhe: | 101,8 km |
| Endhöhe: | 82,5 km |
| Startposition: | 69,332N 18,877E |
| Endposition: | 69,283N 18,933E |
| Richtung: | 158,5° |
| Neigungswinkel: | 72,9° |
| Eintrittsgeschwindigkeit: | 31,9 km/s |
| Rektaszension des Radianten: | 18:42 (280,6°) |
| Deklination des Radianten: | 82,0° |
| Meteorstrom: | sporadisch |
|
Bahnelemente des Meteoroiden:
| Periheldistanz: | 0,994 AU |
| Exzentrizität: | 0,487 |
| Inklination: | 52,7° |
| Länge des aufsteigenden Knotens: | 188,6° |
| Argument des Perihels: | 191,9° |
| Mittlere Anomalie: | 356,4° |
| Epoche: | 2025 OCT 01 20:31:14 |
|