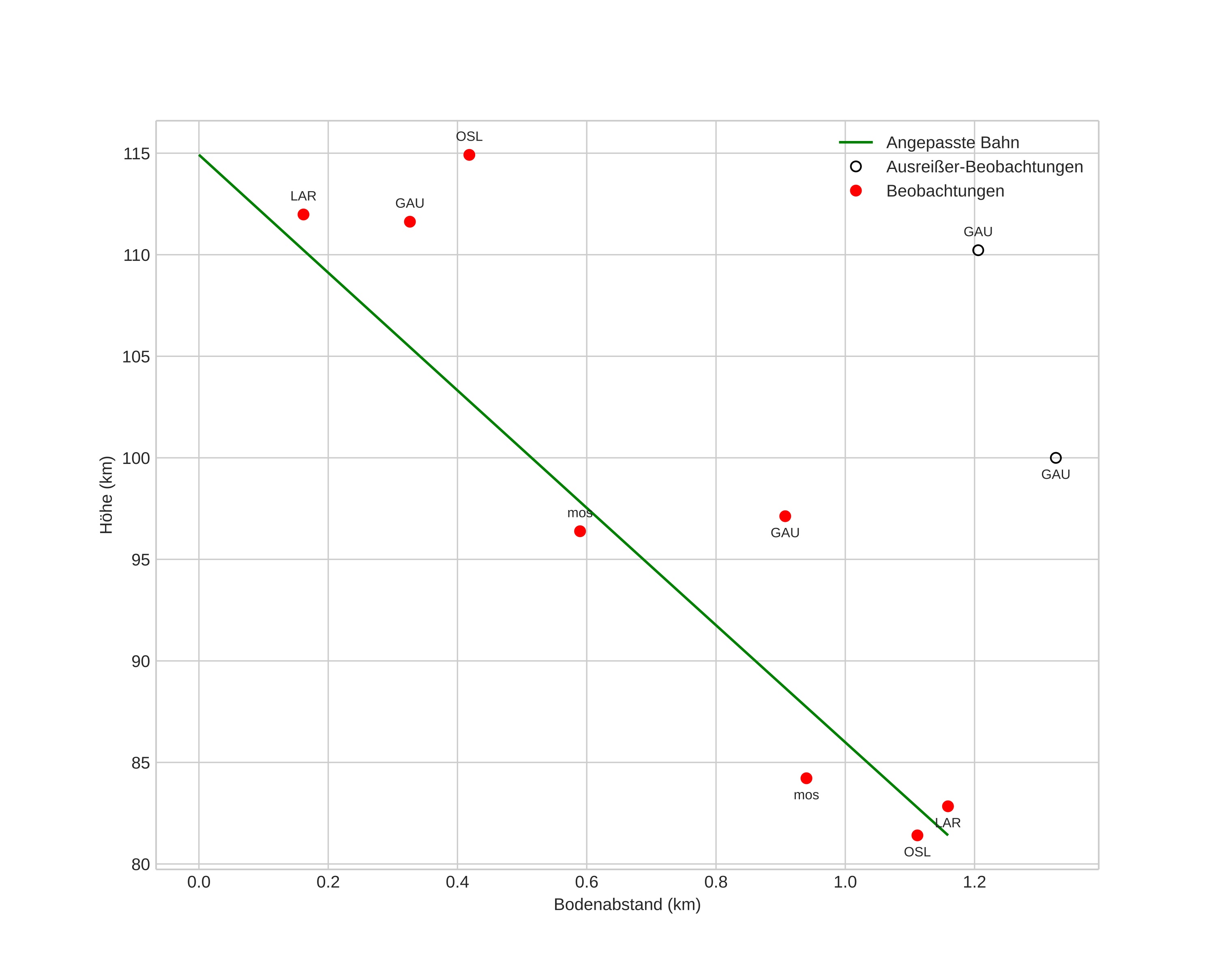
Atmosférická dráha meteoru:
| Počátečnà výška: | 114,5 km |
| Konečná výška: | 81,7 km |
| Počátečnà poloha: | 59,887N 10,298E |
| Konečná poloha: | 59,878N 10,284E |
| Směr: | 217,9° |
| Sklon: | 87,7° |
| VstupnĂ rychlost: | 44,5 km/s |
| Rektascenze radiantu: | 02:55 (43,8°) |
| Deklinace radiantu: | 61,4° |
| MeteorickĂ˝ roj: | sporadickĂ˝ |
|
Elementy dráhy meteoroidu:
| Vzdálenost v periheliu: | 0,578 AU |
| Excentricita: | 0,707 |
| Sklon dráhy: | 79,1° |
| Délka vzestupného uzlu: | 192,7° |
| Argument perihelia: | 271,1° |
| Střednà anomálie: | 343,3° |
| Epocha: | 2025 OCT 06 01:07:12 |
|