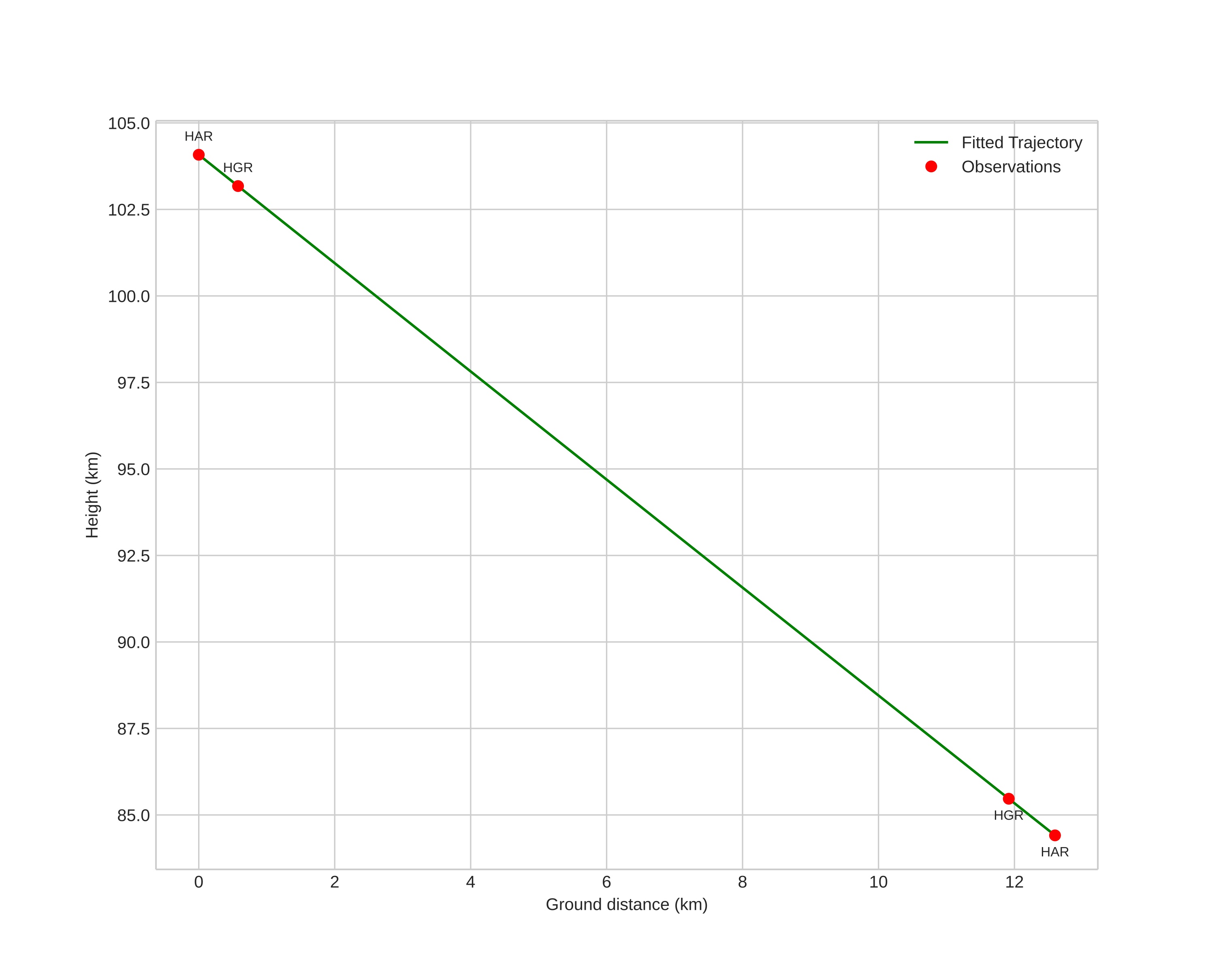
Atmosférická dráha meteoru:
| Počátečnà výška: | 104,1 km |
| Konečná výška: | 84,7 km |
| Počátečnà poloha: | 60,946N 12,867E |
| Konečná poloha: | 60,841N 12,788E |
| Směr: | 200,3° |
| Sklon: | 57,5° |
| VstupnĂ rychlost: | 45,4 km/s |
| Rektascenze radiantu: | 11:15 (168,8°) |
| Deklinace radiantu: | 79,3° |
| MeteorickĂ˝ roj: | sporadickĂ˝ |
|
Elementy dráhy meteoroidu:
| Vzdálenost v periheliu: | 0,993 AU |
| Excentricita: | 0,839 |
| Sklon dráhy: | 75,9° |
| Délka vzestupného uzlu: | 192,8° |
| Argument perihelia: | 169,9° |
| Střednà anomálie: | 0,5° |
| Epocha: | 2025 OCT 06 02:39:15 |
|