🇳🇴 🇬🇧 🇩🇪 🇨🇿 🇫🇮

Meteor over Arvika 2025-10-06 03:32:33 UTC

KML-fil  |  Interaktivt kart

Kartet viser peilingene for meteoren. De lysere linjene viser retningene fra observasjonsstedene for meteorens tilsynekomst, og de mørkere linjene viser hvor den sist kunne sees. Den blå pila viser meteorens synlige ferd.

static map
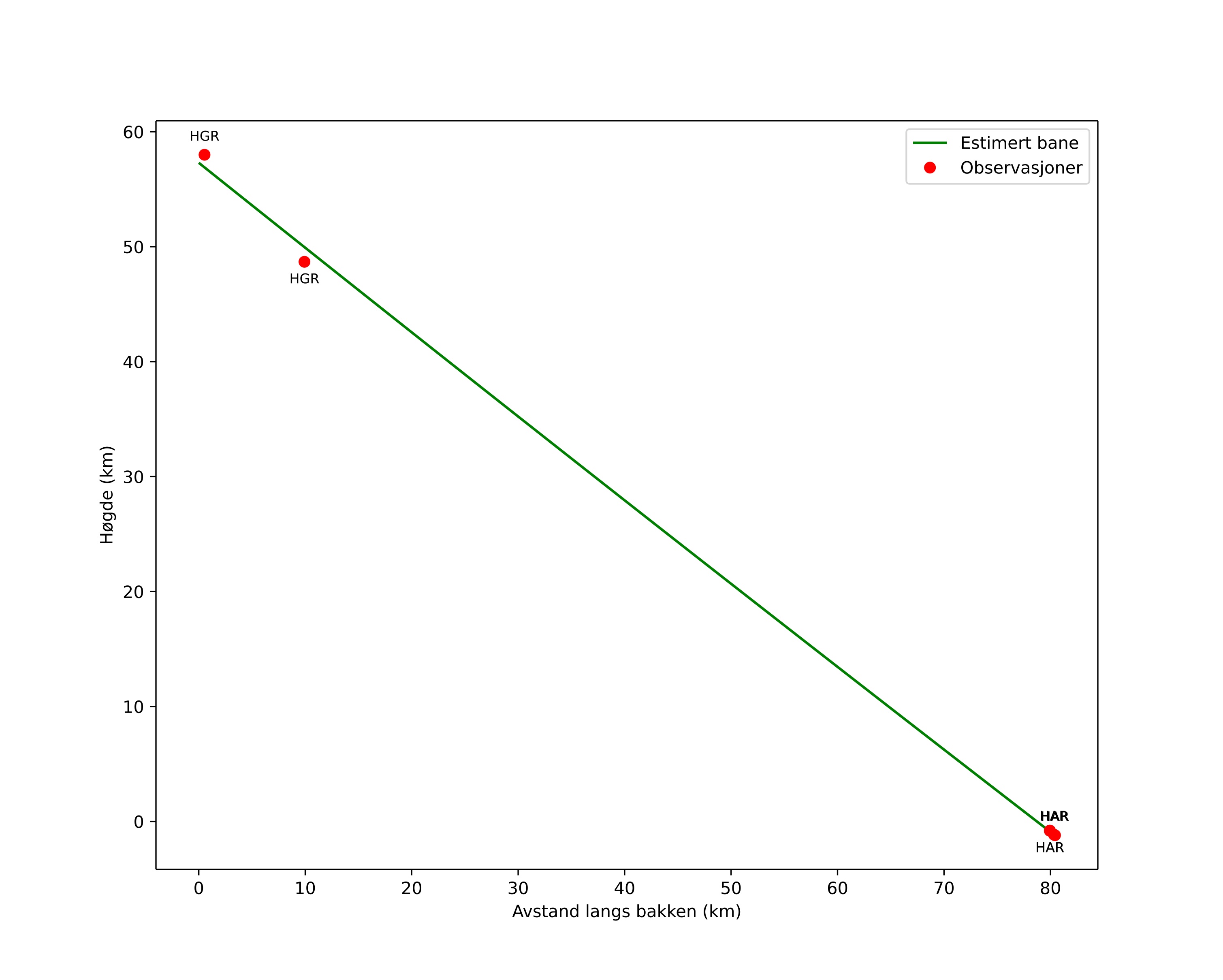
height profile
Meteorens atmosfæriske bane:
Starthøgde: 93,2 km
Slutthøgde: 75,6 km
Startposisjon: 59,798N 13,013E
Sluttposisjon: 59,799N 12,752E
Retning: 270,6°
Fallvinkel: 50,3°
Inngangshastighet: 40,5 km/s
Radiantens rektascensjon: 09:17 (139,5°)
Radiantens deklinasjon: 41,0°
Meteorsverm: sporadisk
Meteoroidens baneelement:
Perihelavstand: 0,163 AU
Eksentrisitet: 0,763
Inklinasjon: 97,4°
Knutelengde: 192,8°
Perihelargument: 20,8°
Midlere anomali: 91,7°
Epoke: 2025 OCT 06 03:32:33
orbit plot

Ikke-interaktivt plott | Interaktivt plott

position vs time
speed and acceleration

Hagar (HGR) cam4


gnomonic
Videoer
• Gnomonisk
• Gnomonisk med koordinater
• Original
• Original med koordinater
Bilder
• Gnomonisk
• Gnomonisk med koordinater
• Original
• Original med koordinater
Tekstfiler
• Deteksjon
• Observasjon
• Koordinater
• Logg
Lysstyrke

Harestua (HAR) cam2


gnomonic
Videoer
• Gnomonisk
• Gnomonisk med koordinater
• Original
• Original med koordinater
Bilder
• Gnomonisk
• Gnomonisk med koordinater
• Original
• Original med koordinater
Tekstfiler
• Deteksjon
• Observasjon
• Koordinater
• Logg
Lysstyrke

Harestua (HAR) cam3


gnomonic
Videoer
• Gnomonisk
• Gnomonisk med koordinater
• Original
• Original med koordinater
Bilder
• Gnomonisk
• Gnomonisk med koordinater
• Original
• Original med koordinater
Tekstfiler
• Deteksjon
• Observasjon
• Koordinater
• Logg
Lysstyrke