🇳🇴 🇬🇧 🇩🇪 🇨🇿 🇫🇮

Meteor over Lempäälä 2025-10-08 20:16:17 UTC

KML-fil  |  Interaktivt kart

Kartet viser peilingene for meteoren. De lysere linjene viser retningene fra observasjonsstedene for meteorens tilsynekomst, og de mørkere linjene viser hvor den sist kunne sees. Den blå pila viser meteorens synlige ferd.

static map
height profile
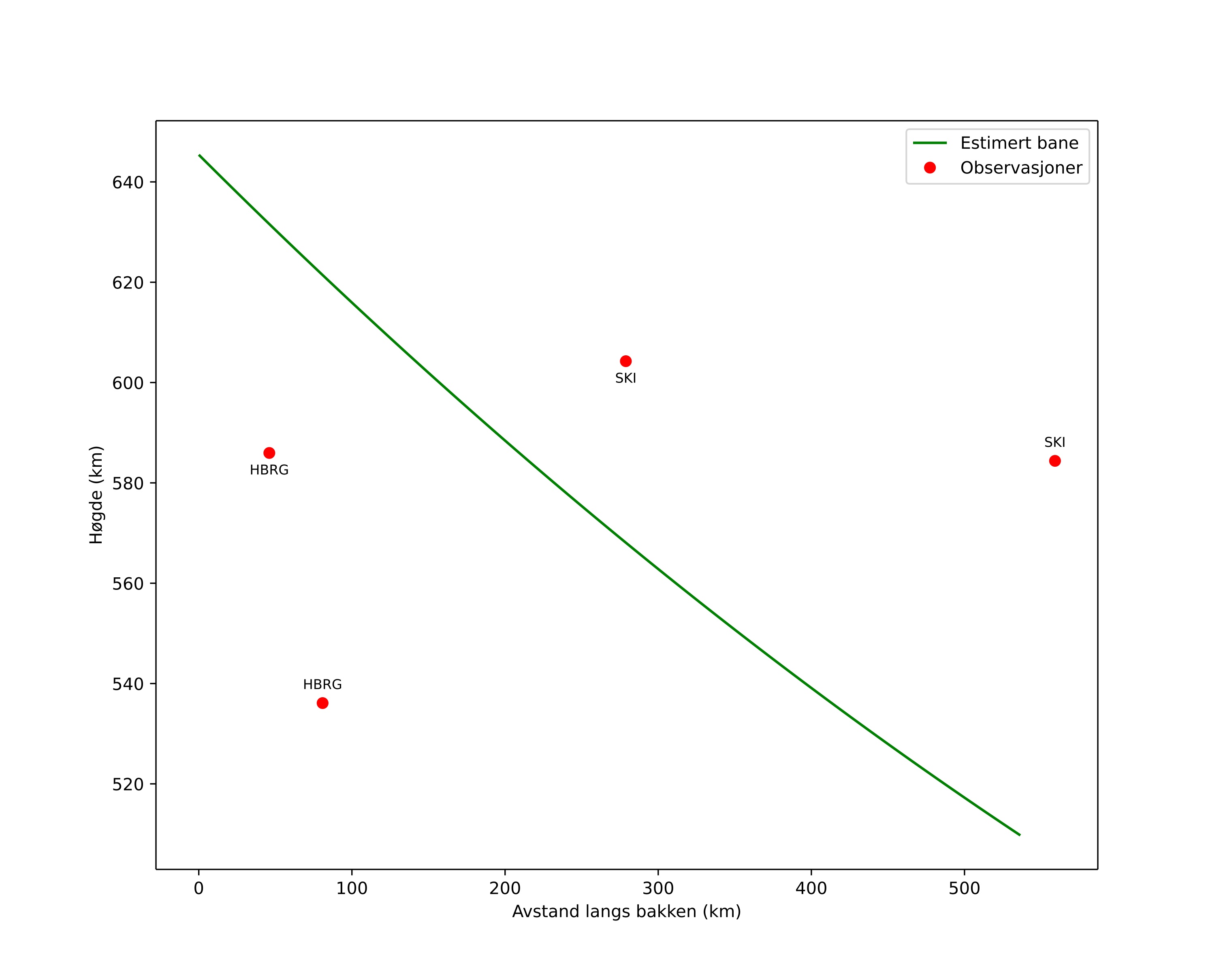
Meteorens atmosfæriske bane:
Starthøgde: 666,1 km
Slutthøgde: 430,7 km
Startposisjon: 58,879N 26,883E
Sluttposisjon: 61,310N 23,863E
Retning: 329,5°
Fallvinkel: 36,5°
position vs time
speed and acceleration

Skibotn (SKI) cam3


gnomonic
Videoer
• Gnomonisk
• Gnomonisk med koordinater
• Original
• Original med koordinater
Bilder
• Gnomonisk
• Gnomonisk med koordinater
• Original
• Original med koordinater
Tekstfiler
• Deteksjon
• Observasjon
• Koordinater
• Logg
Lysstyrke