🇳🇴 🇬🇧 🇩🇪 🇨🇿 🇫🇮

Meteor over Sollebrunn 2025-10-09 02:31:50 UTC

KML-fil  |  Interaktivt kart

Kartet viser peilingene for meteoren. De lysere linjene viser retningene fra observasjonsstedene for meteorens tilsynekomst, og de mørkere linjene viser hvor den sist kunne sees. Den blå pila viser meteorens synlige ferd.

static map
height profile
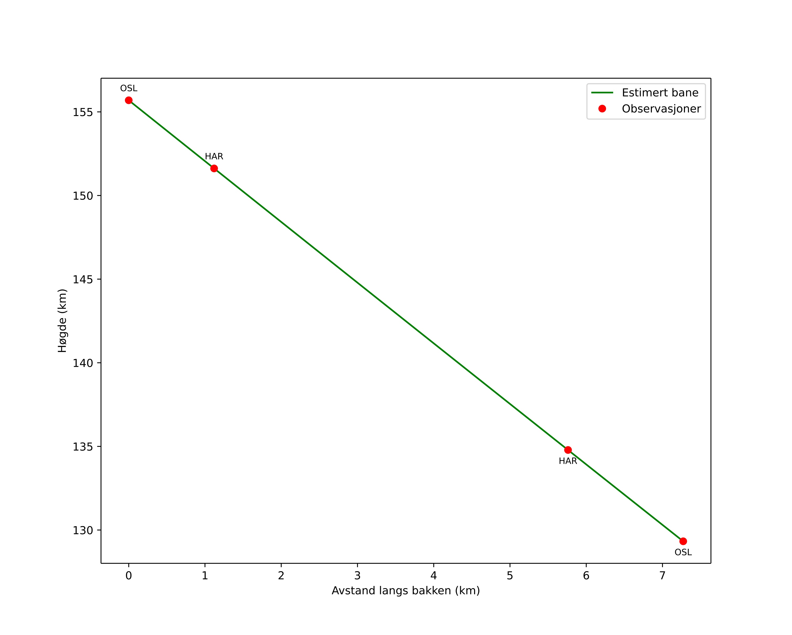
Meteorens atmosfæriske bane:
Starthøgde: 149,7 km
Slutthøgde: 131,6 km
Startposisjon: 58,208N 12,492E
Sluttposisjon: 58,041N 12,563E
Retning: 167,3°
Fallvinkel: 43,6°
Inngangshastighet: 47,7 km/s
Radiantens rektascensjon: 18:50 (282,5°)
Radiantens deklinasjon: 72,7°
Meteorsverm: sporadisk
Meteoroidens baneelement:
Perihelavstand: 0,993 AU
Eksentrisitet: 2,141
Inklinasjon: 61,0°
Knutelengde: 195,7°
Perihelargument: 187,6°
Midlere anomali: -5,3°
Epoke: 2025 OCT 09 02:31:50
orbit plot

Ikke-interaktivt plott | Interaktivt plott

position vs time
speed and acceleration

Harestua (HAR) cam3


gnomonic
Videoer
• Gnomonisk
• Gnomonisk med koordinater
• Original
• Original med koordinater
Bilder
• Gnomonisk
• Gnomonisk med koordinater
• Original
• Original med koordinater
Tekstfiler
• Deteksjon
• Observasjon
• Koordinater
• Logg
Lysstyrke

Voksenlia (OSL) cam4


gnomonic
Videoer
• Gnomonisk
• Gnomonisk med koordinater
• Original
• Original med koordinater
Bilder
• Gnomonisk
• Gnomonisk med koordinater
• Original
• Original med koordinater
Tekstfiler
• Deteksjon
• Observasjon
• Koordinater
• Logg
Lysstyrke