🇳🇴 🇬🇧 🇩🇪 🇨🇿 🇫🇮

Meteor over Langevåg 2025-10-11 02:25:08 UTC

KML-fil  |  Interaktivt kart

Kartet viser peilingene for meteoren. De lysere linjene viser retningene fra observasjonsstedene for meteorens tilsynekomst, og de mørkere linjene viser hvor den sist kunne sees. Den blå pila viser meteorens synlige ferd.

static map
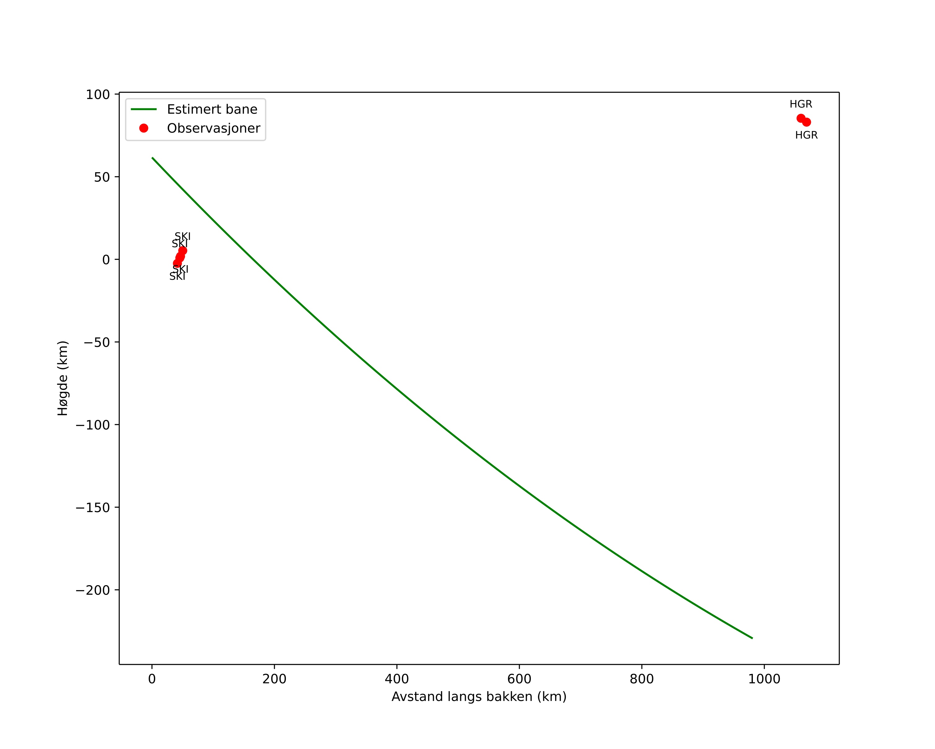
height profile
Meteorens atmosfæriske bane:
Starthøgde: 68,5 km
Slutthøgde: -254,6 km
Startposisjon: 69,457N 18,011E
Sluttposisjon: 62,517N 6,232E
Retning: 220,1°
Fallvinkel: 19,1°
Inngangshastighet: 59,8 km/s
Radiantens rektascensjon: 13:47 (206,9°)
Radiantens deklinasjon: 33,5°
Meteorsverm: sporadisk
Meteoroidens baneelement:
Perihelavstand: 0,645 AU
Eksentrisitet: 2,553
Inklinasjon: 58,4°
Knutelengde: 197,7°
Perihelargument: 120,5°
Midlere anomali: 83,4°
Epoke: 2025 OCT 11 02:25:08
orbit plot

Ikke-interaktivt plott | Interaktivt plott

position vs time
speed and acceleration

Hagar (HGR) cam1


gnomonic
Videoer
• Gnomonisk
• Gnomonisk med koordinater
• Original
• Original med koordinater
Bilder
• Gnomonisk
• Gnomonisk med koordinater
• Original
• Original med koordinater
Tekstfiler
• Deteksjon
• Observasjon
• Koordinater
• Logg
Lysstyrke

Skibotn (SKI) cam2


gnomonic
Videoer
• Gnomonisk
• Gnomonisk med koordinater
• Original
• Original med koordinater
Bilder
• Gnomonisk
• Gnomonisk med koordinater
• Original
• Original med koordinater
Tekstfiler
• Deteksjon
• Observasjon
• Koordinater
• Logg
Lysstyrke

Skibotn (SKI) cam3


gnomonic
Videoer
• Gnomonisk
• Gnomonisk med koordinater
• Original
• Original med koordinater
Bilder
• Gnomonisk
• Gnomonisk med koordinater
• Original
• Original med koordinater
Tekstfiler
• Deteksjon
• Observasjon
• Koordinater
• Logg
Lysstyrke