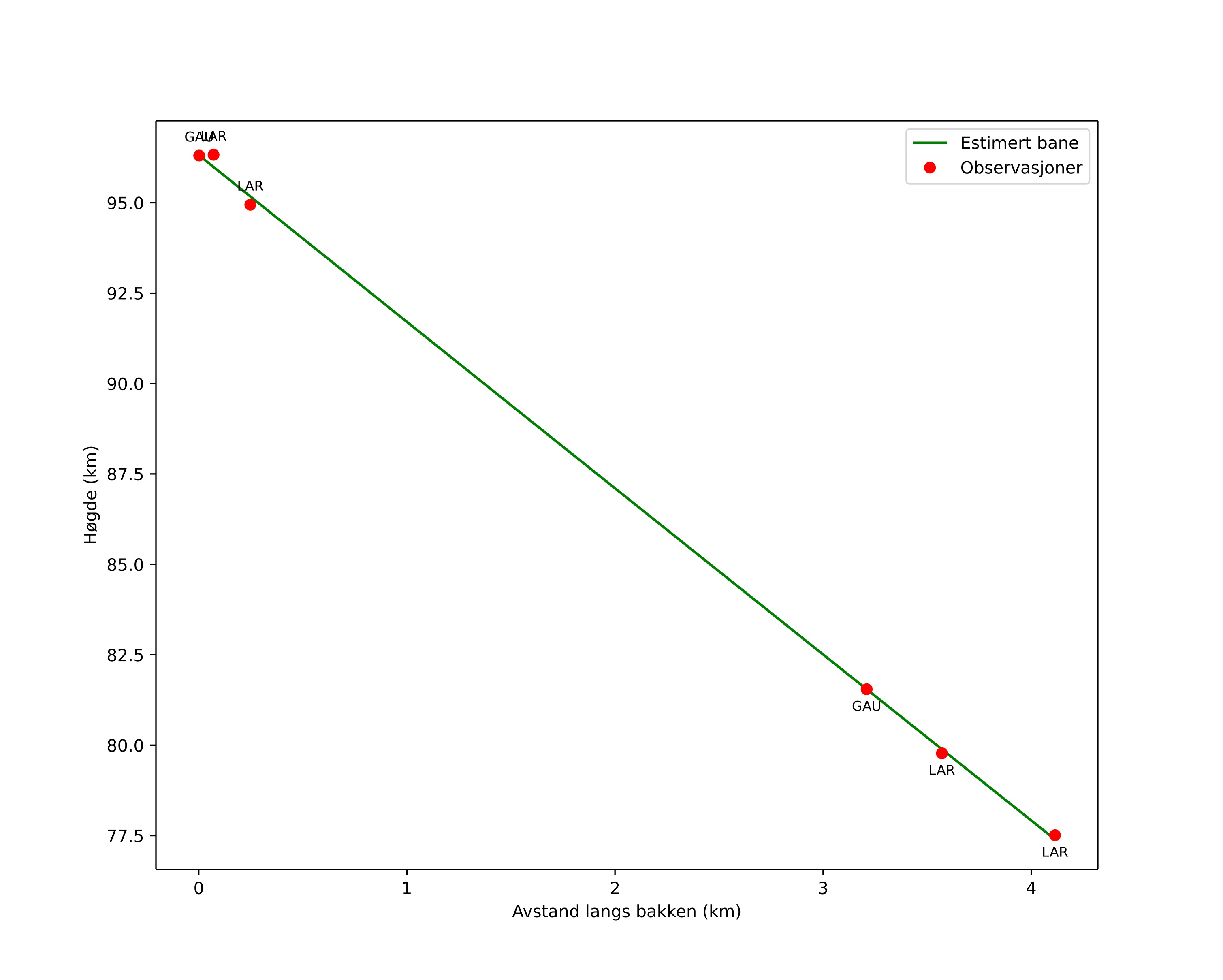
Atmosférická dráha meteoru:
| Počátečnà výška: | 99,0 km |
| Konečná výška: | 78,0 km |
| Počátečnà poloha: | 58,604N 8,256E |
| Konečná poloha: | 58,601N 8,343E |
| Směr: | 93,1° |
| Sklon: | 76,5° |
| VstupnĂ rychlost: | 22,1 km/s |
| Rektascenze radiantu: | 18:38 (279,6°) |
| Deklinace radiantu: | 56,0° |
| MeteorickĂ˝ roj: | sporadickĂ˝ |
|
Elementy dráhy meteoroidu:
| Vzdálenost v periheliu: | 0,997 AU |
| Excentricita: | 0,667 |
| Sklon dráhy: | 29,2° |
| Délka vzestupného uzlu: | 198,3° |
| Argument perihelia: | 184,1° |
| Střednà anomálie: | 359,4° |
| Epocha: | 2025 OCT 11 18:35:08 |
|