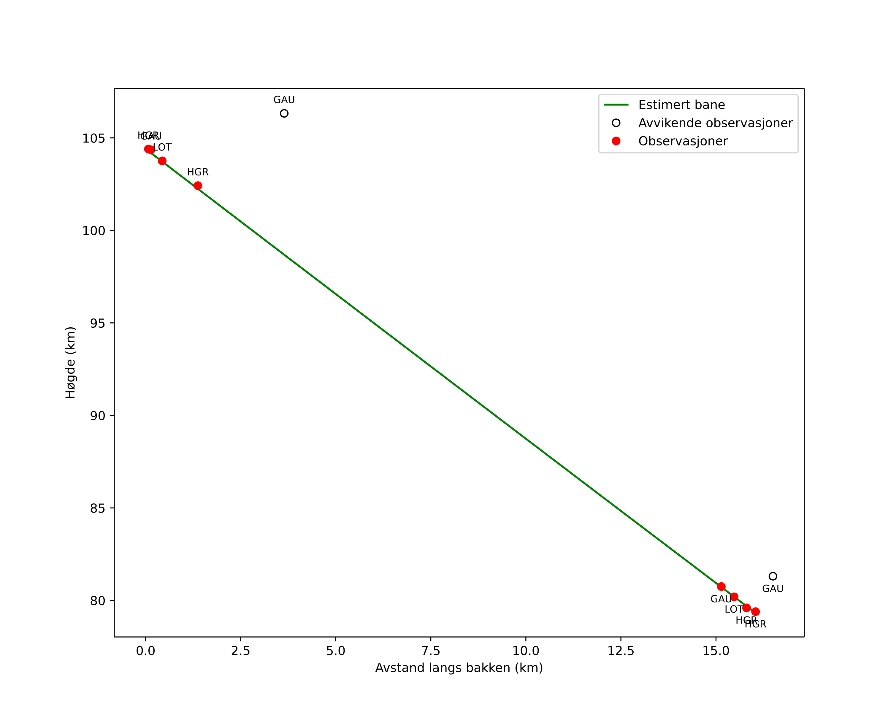
Atmosférická dráha meteoru:
| Počátečnà výška: | 108,0 km |
| Konečná výška: | 80,4 km |
| Počátečnà poloha: | 62,625N 12,913E |
| Konečná poloha: | 62,498N 12,913E |
| Směr: | 180,0° |
| Sklon: | 62,9° |
| VstupnĂ rychlost: | 39,4 km/s |
| Rektascenze radiantu: | 14:18 (214,6°) |
| Deklinace radiantu: | 89,8° |
| MeteorickĂ˝ roj: | sporadickĂ˝ |
|
Elementy dráhy meteoroidu:
| Vzdálenost v periheliu: | 0,974 AU |
| Excentricita: | 0,673 |
| Sklon dráhy: | 65,7° |
| Délka vzestupného uzlu: | 199,3° |
| Argument perihelia: | 199,8° |
| Střednà anomálie: | 357,1° |
| Epocha: | 2025 OCT 12 18:37:25 |
|