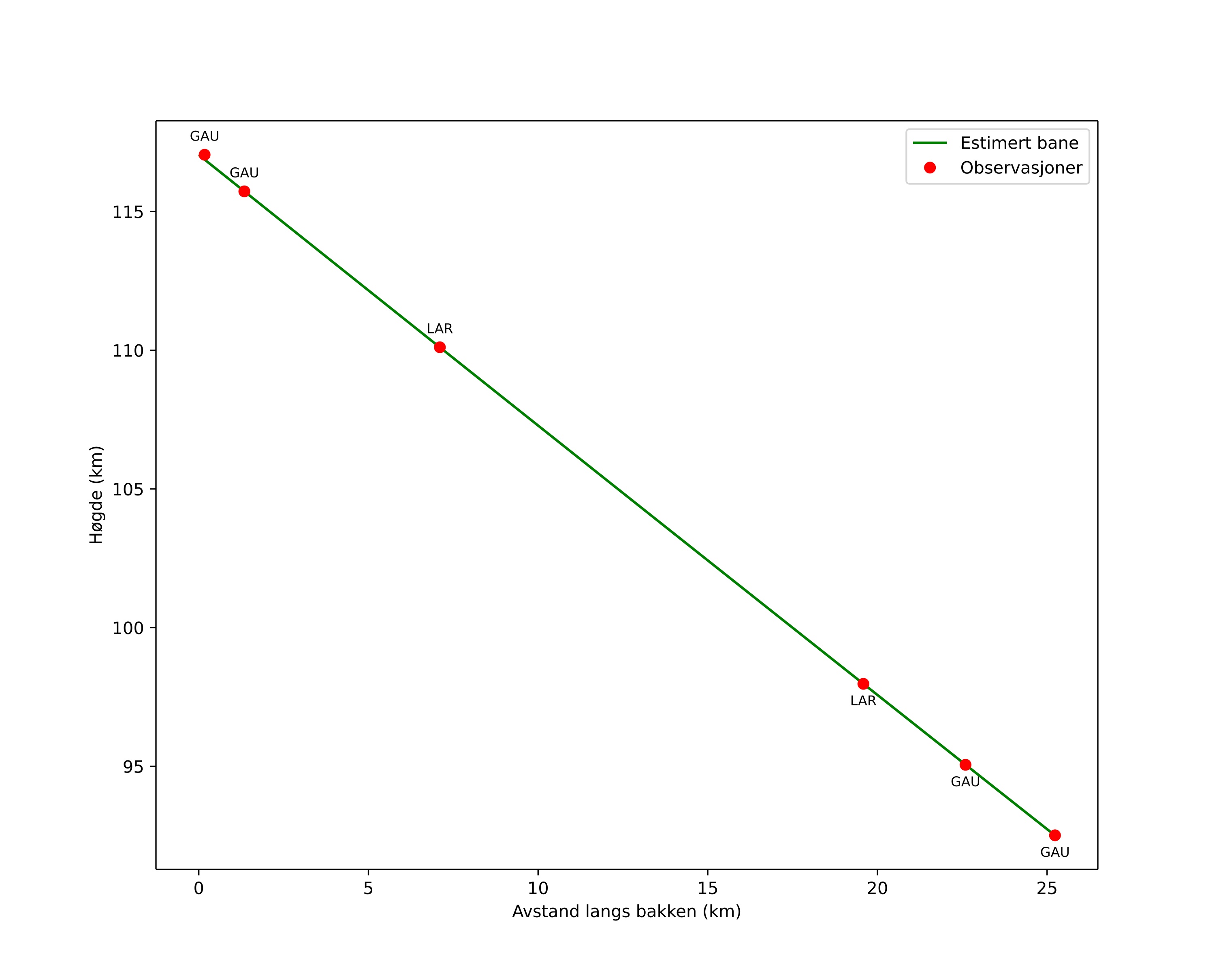
Atmosférická dráha meteoru:
| Počátečnà výška: | 117,4 km |
| Konečná výška: | 89,0 km |
| Počátečnà poloha: | 59,899N 9,558E |
| Konečná poloha: | 59,861N 9,048E |
| Směr: | 261,7° |
| Sklon: | 44,6° |
| VstupnĂ rychlost: | 68,3 km/s |
| Rektascenze radiantu: | 06:34 (98,7°) |
| Deklinace radiantu: | 41,1° |
| MeteorickĂ˝ roj: | sporadickĂ˝ |
|
Elementy dráhy meteoroidu:
| Vzdálenost v periheliu: | 0,868 AU |
| Excentricita: | 0,922 |
| Sklon dráhy: | 147,7° |
| Délka vzestupného uzlu: | 199,6° |
| Argument perihelia: | 223,2° |
| Střednà anomálie: | 359,3° |
| Epocha: | 2025 OCT 12 23:52:55 |
|