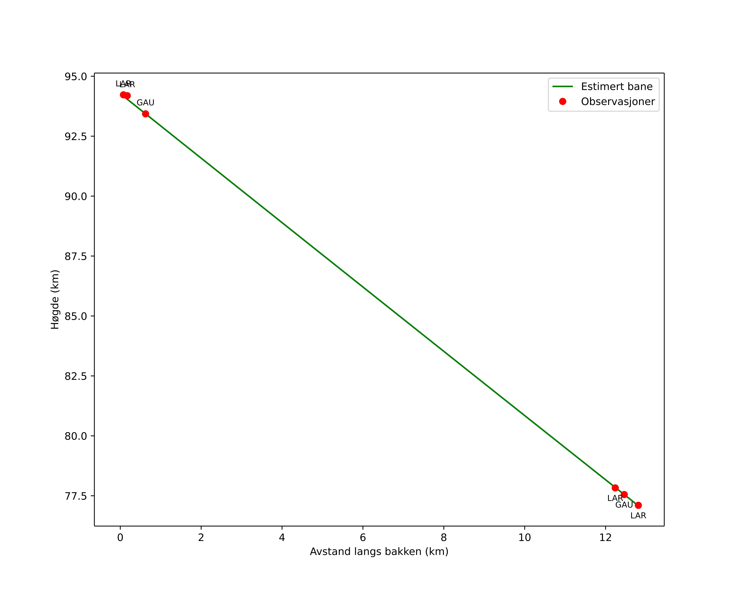
Atmosférická dráha meteoru:
| Počátečnà výška: | 95,1 km |
| Konečná výška: | 76,9 km |
| Počátečnà poloha: | 60,300N 10,834E |
| Konečná poloha: | 60,181N 10,885E |
| Směr: | 167,9° |
| Sklon: | 53,3° |
| VstupnĂ rychlost: | 30,3 km/s |
| Rektascenze radiantu: | 17:15 (258,8°) |
| Deklinace radiantu: | 79,1° |
| MeteorickĂ˝ roj: | sporadickĂ˝ |
|
Elementy dráhy meteoroidu:
| Vzdálenost v periheliu: | 0,995 AU |
| Excentricita: | 0,485 |
| Sklon dráhy: | 49,3° |
| Délka vzestupného uzlu: | 199,6° |
| Argument perihelia: | 187,6° |
| Střednà anomálie: | 357,7° |
| Epocha: | 2025 OCT 12 23:58:28 |
|