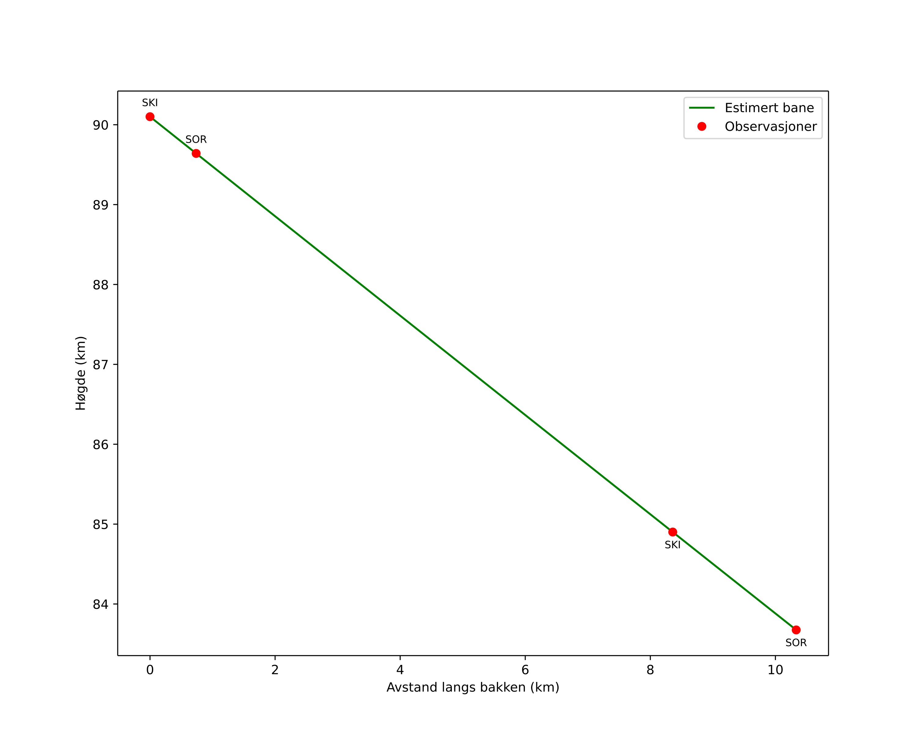
Atmosférická dráha meteoru:
| Počátečnà výška: | 89,4 km |
| Konečná výška: | 83,0 km |
| Počátečnà poloha: | 69,698N 19,215E |
| Konečná poloha: | 69,753N 19,420E |
| Směr: | 52,2° |
| Sklon: | 32,7° |
| VstupnĂ rychlost: | 40,0 km/s |
| Rektascenze radiantu: | 02:21 (35,3°) |
| Deklinace radiantu: | 17,7° |
| MeteorickĂ˝ roj: | sporadickĂ˝ |
|
Elementy dráhy meteoroidu:
| Vzdálenost v periheliu: | 0,171 AU |
| Excentricita: | 0,977 |
| Sklon dráhy: | 7,7° |
| Délka vzestupného uzlu: | 199,7° |
| Argument perihelia: | 312,7° |
| Střednà anomálie: | 358,3° |
| Epocha: | 2025 OCT 13 02:39:35 |
|