🇳🇴 🇬🇧 🇩🇪 🇨🇿 🇫🇮

Meteor over Grenaa 2025-10-13 02:53:42 UTC

KML-fil  |  Interaktivt kart

Kartet viser peilingene for meteoren. De lysere linjene viser retningene fra observasjonsstedene for meteorens tilsynekomst, og de mørkere linjene viser hvor den sist kunne sees. Den blå pila viser meteorens synlige ferd.

static map
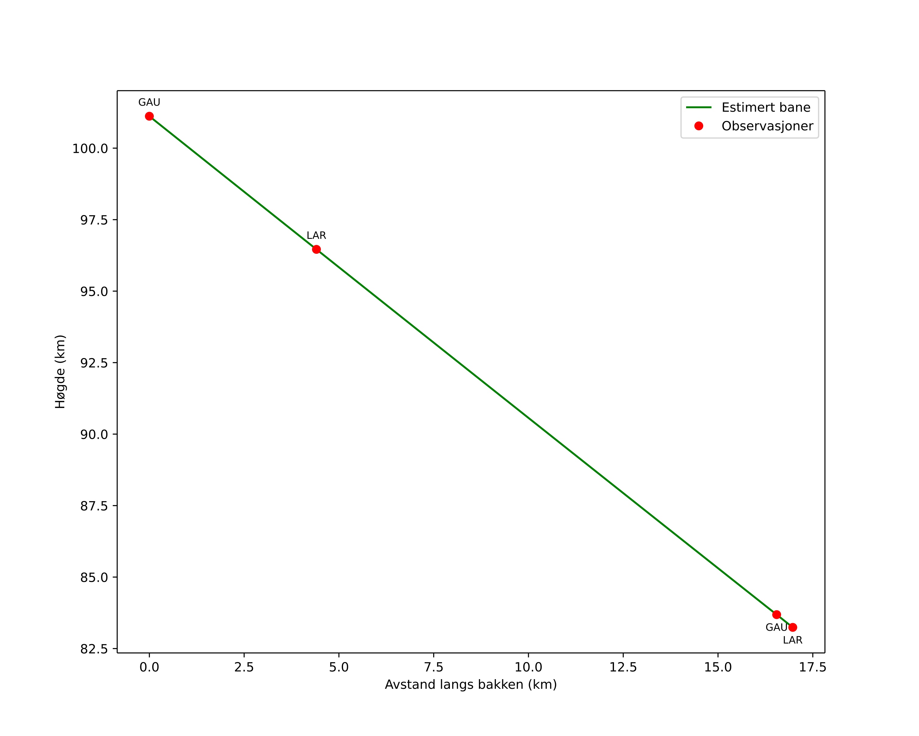
height profile
Meteorens atmosfæriske bane:
Starthøgde: 102,6 km
Slutthøgde: 81,8 km
Startposisjon: 56,705N 11,029E
Sluttposisjon: 56,523N 10,867E
Retning: 206,2°
Fallvinkel: 42,7°
Inngangshastighet: 48,2 km/s
Radiantens rektascensjon: 13:05 (196,3°)
Radiantens deklinasjon: 68,1°
Meteorsverm: sporadisk
Meteoroidens baneelement:
Perihelavstand: 0,944 AU
Eksentrisitet: 1,253
Inklinasjon: 73,8°
Knutelengde: 199,7°
Perihelargument: 154,6°
Midlere anomali: 2,2°
Epoke: 2025 OCT 13 02:53:42
orbit plot

Ikke-interaktivt plott | Interaktivt plott

position vs time
speed and acceleration

Gaustatoppen (GAU) cam3


gnomonic
Videoer
• Gnomonisk
• Gnomonisk med koordinater
• Original
• Original med koordinater
Bilder
• Gnomonisk
• Gnomonisk med koordinater
• Original
• Original med koordinater
Tekstfiler
• Deteksjon
• Observasjon
• Koordinater
• Logg
Lysstyrke

Larvik (LAR) cam4


gnomonic
Videoer
• Gnomonisk
• Gnomonisk med koordinater
• Original
• Original med koordinater
Bilder
• Gnomonisk
• Gnomonisk med koordinater
• Original
• Original med koordinater
Tekstfiler
• Deteksjon
• Observasjon
• Koordinater
• Logg
Lysstyrke