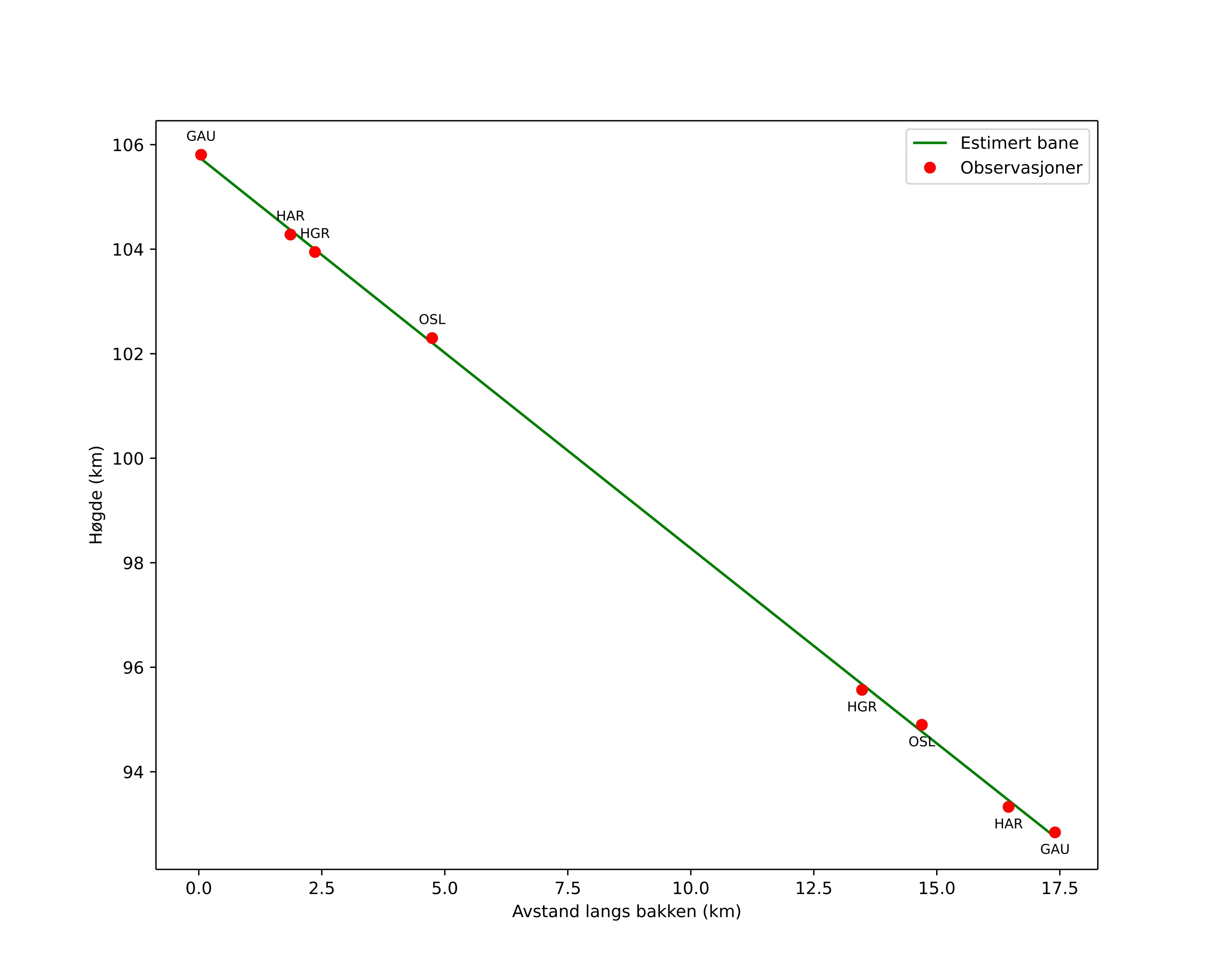
Atmosférická dráha meteoru:
| Počátečnà výška: | 105,4 km |
| Konečná výška: | 91,0 km |
| Počátečnà poloha: | 60,150N 7,067E |
| Konečná poloha: | 59,988N 7,088E |
| Směr: | 176,4° |
| Sklon: | 38,7° |
| VstupnĂ rychlost: | 57,7 km/s |
| Rektascenze radiantu: | 08:47 (131,8°) |
| Deklinace radiantu: | 68,0° |
| MeteorickĂ˝ roj: | sporadickĂ˝ |
|
Elementy dráhy meteoroidu:
| Vzdálenost v periheliu: | 0,997 AU |
| Excentricita: | 1,052 |
| Sklon dráhy: | 101,1° |
| Délka vzestupného uzlu: | 201,3° |
| Argument perihelia: | 180,4° |
| Střednà anomálie: | -0,0° |
| Epocha: | 2025 OCT 14 18:14:37 |
|