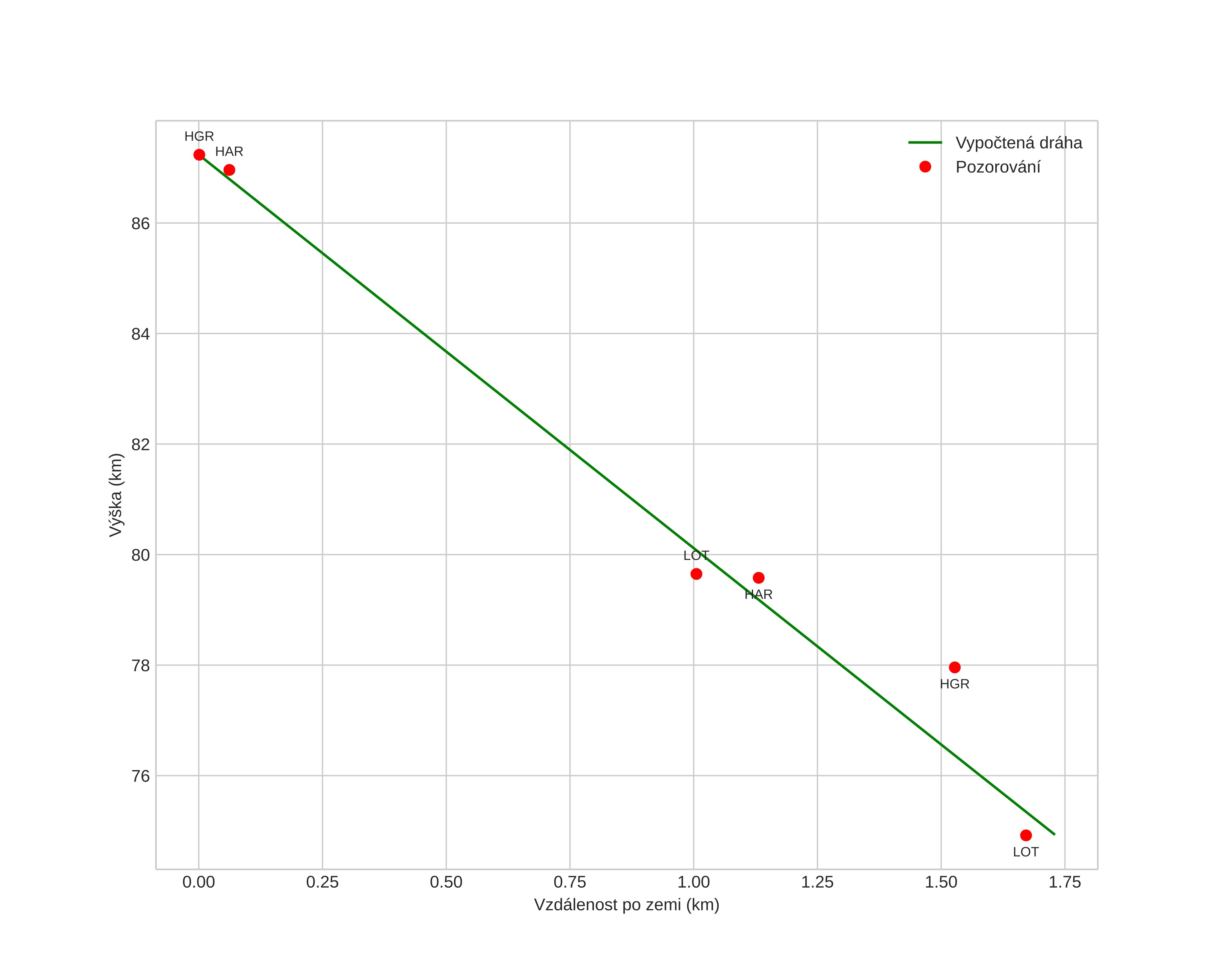
Atmosférická dráha meteoru:
| Počátečnà výška: | 87,4 km |
| Konečná výška: | 73,0 km |
| Počátečnà poloha: | 60,836N 12,033E |
| Konečná poloha: | 60,856N 12,064E |
| Směr: | 37,1° |
| Sklon: | 79,0° |
| VstupnĂ rychlost: | 18,9 km/s |
| Rektascenze radiantu: | 20:13 (303,3°) |
| Deklinace radiantu: | 50,2° |
| MeteorickĂ˝ roj: | sporadickĂ˝ |
|
Elementy dráhy meteoroidu:
| Vzdálenost v periheliu: | 0,978 AU |
| Excentricita: | 0,590 |
| Sklon dráhy: | 22,2° |
| Délka vzestupného uzlu: | 201,3° |
| Argument perihelia: | 198,5° |
| Střednà anomálie: | 356,1° |
| Epocha: | 2025 OCT 14 18:42:34 |
|