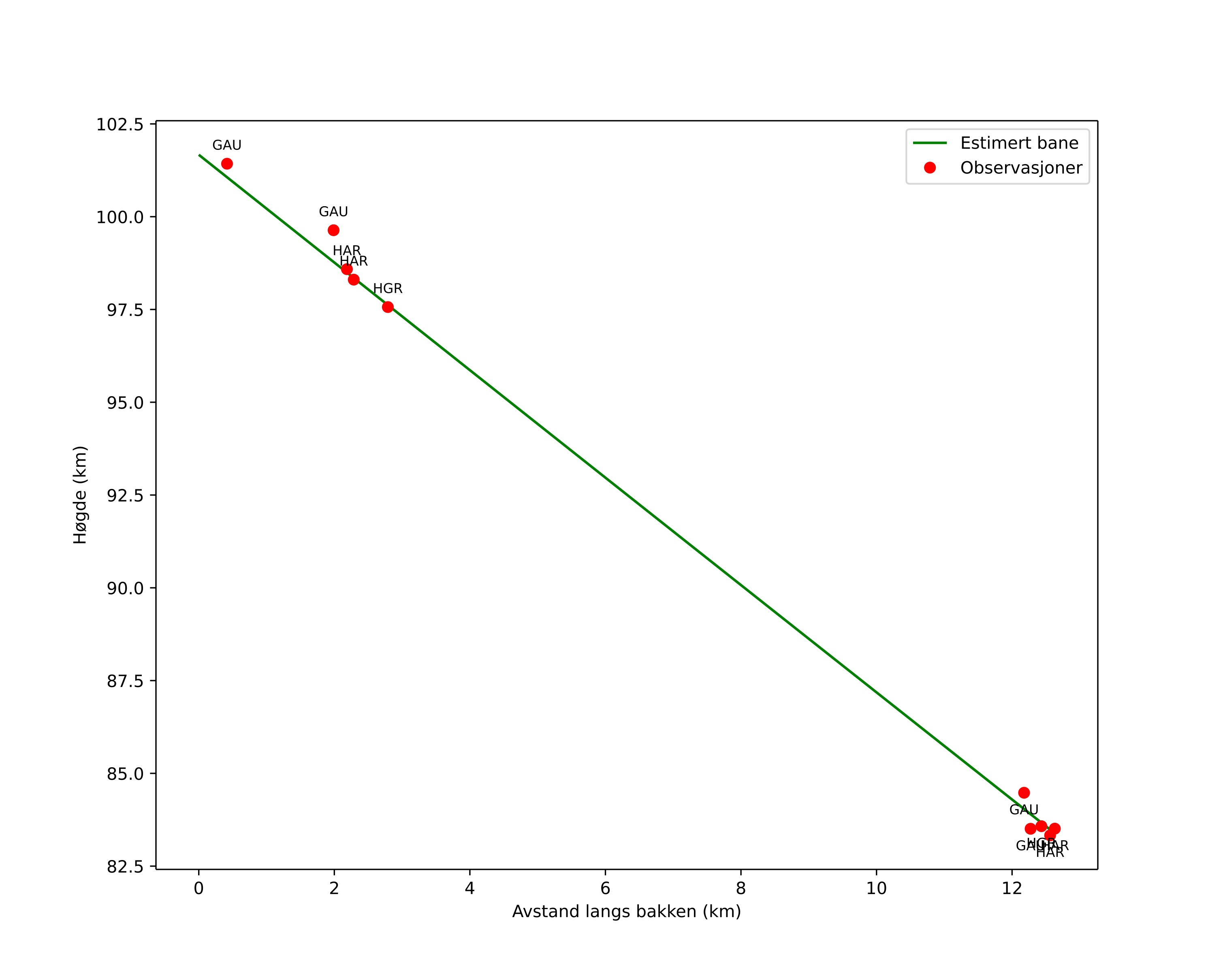
Atmosférická dráha meteoru:
| Počátečnà výška: | 101,3 km |
| Konečná výška: | 82,6 km |
| Počátečnà poloha: | 59,657N 6,392E |
| Konečná poloha: | 59,549N 6,419E |
| Směr: | 172,8° |
| Sklon: | 57,1° |
| VstupnĂ rychlost: | 37,3 km/s |
| Rektascenze radiantu: | 16:07 (242,0°) |
| Deklinace radiantu: | 84,7° |
| MeteorickĂ˝ roj: | sporadickĂ˝ |
|
Elementy dráhy meteoroidu:
| Vzdálenost v periheliu: | 0,989 AU |
| Excentricita: | 0,685 |
| Sklon dráhy: | 61,1° |
| Délka vzestupného uzlu: | 201,5° |
| Argument perihelia: | 191,8° |
| Střednà anomálie: | 358,4° |
| Epocha: | 2025 OCT 14 22:22:41 |
|