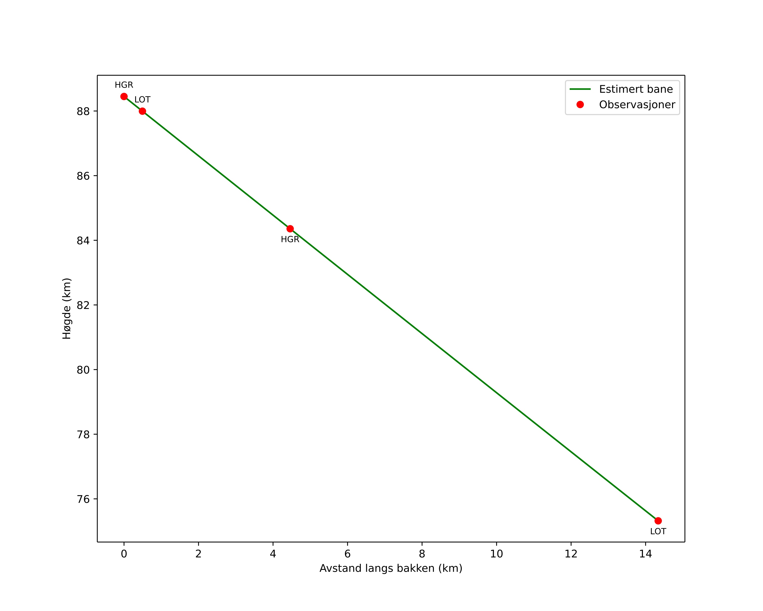
Atmosférická dráha meteoru:
| Počátečnà výška: | 93,1 km |
| Konečná výška: | 78,3 km |
| Počátečnà poloha: | 60,835N 11,336E |
| Konečná poloha: | 60,811N 11,618E |
| Směr: | 99,9° |
| Sklon: | 43,6° |
| VstupnĂ rychlost: | 16,1 km/s |
| Rektascenze radiantu: | 19:59 (299,9°) |
| Deklinace radiantu: | 34,8° |
| MeteorickĂ˝ roj: | sporadickĂ˝ |
|
Elementy dráhy meteoroidu:
| Vzdálenost v periheliu: | 0,988 AU |
| Excentricita: | 0,606 |
| Sklon dráhy: | 14,8° |
| Délka vzestupného uzlu: | 201,5° |
| Argument perihelia: | 192,7° |
| Střednà anomálie: | 357,5° |
| Epocha: | 2025 OCT 14 22:54:28 |
|