🇳🇴 🇬🇧 🇩🇪 🇨🇿 🇫🇮

Meteor over Koppang 2025-10-15 00:21:25 UTC

KML-fil  |  Interaktivt kart

Kartet viser peilingene for meteoren. De lysere linjene viser retningene fra observasjonsstedene for meteorens tilsynekomst, og de mørkere linjene viser hvor den sist kunne sees. Den blå pila viser meteorens synlige ferd.

static map
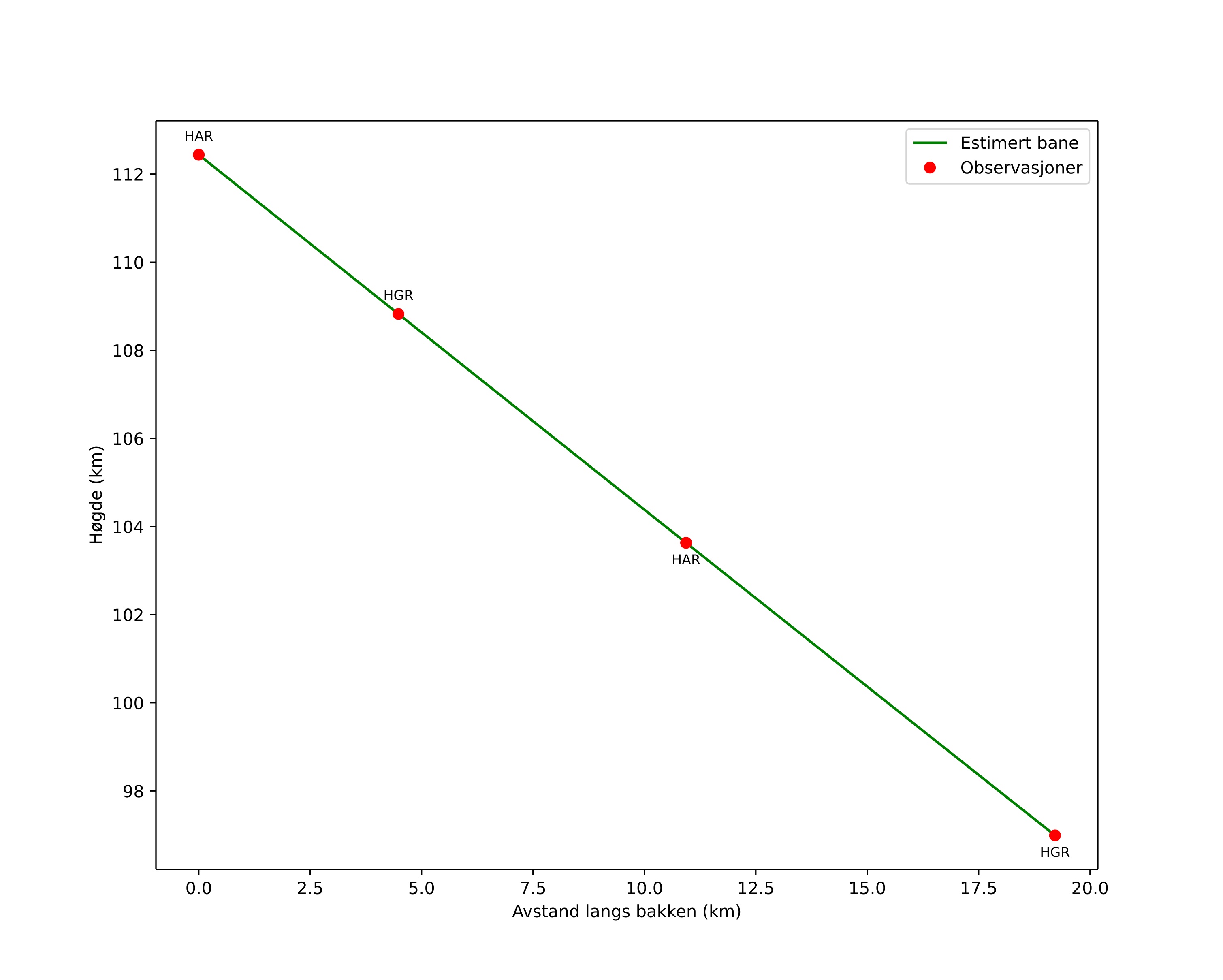
height profile
Meteorens atmosfæriske bane:
Starthøgde: 111,8 km
Slutthøgde: 98,7 km
Startposisjon: 61,618N 11,011E
Sluttposisjon: 61,705N 10,668E
Retning: 298,3°
Fallvinkel: 32,5°
Inngangshastighet: 69,2 km/s
Radiantens rektascensjon: 06:01 (90,4°)
Radiantens deklinasjon: 16,1°
Meteorsverm: Orionidene
Meteoroidens baneelement:
Perihelavstand: 0,655 AU
Eksentrisitet: 1,010
Inklinasjon: 165,2°
Knutelengde: 21,5°
Perihelargument: 71,5°
Midlere anomali: -0,1°
Epoke: 2025 OCT 15 00:21:25
orbit plot

Ikke-interaktivt plott | Interaktivt plott

position vs time
speed and acceleration

Hagar (HGR) cam2


gnomonic
Videoer
• Gnomonisk
• Gnomonisk med koordinater
• Original
• Original med koordinater
Bilder
• Gnomonisk
• Gnomonisk med koordinater
• Original
• Original med koordinater
Tekstfiler
• Deteksjon
• Observasjon
• Koordinater
• Logg
Lysstyrke

Harestua (HAR) cam1


gnomonic
Videoer
• Gnomonisk
• Gnomonisk med koordinater
• Original
• Original med koordinater
Bilder
• Gnomonisk
• Gnomonisk med koordinater
• Original
• Original med koordinater
Tekstfiler
• Deteksjon
• Observasjon
• Koordinater
• Logg
Lysstyrke