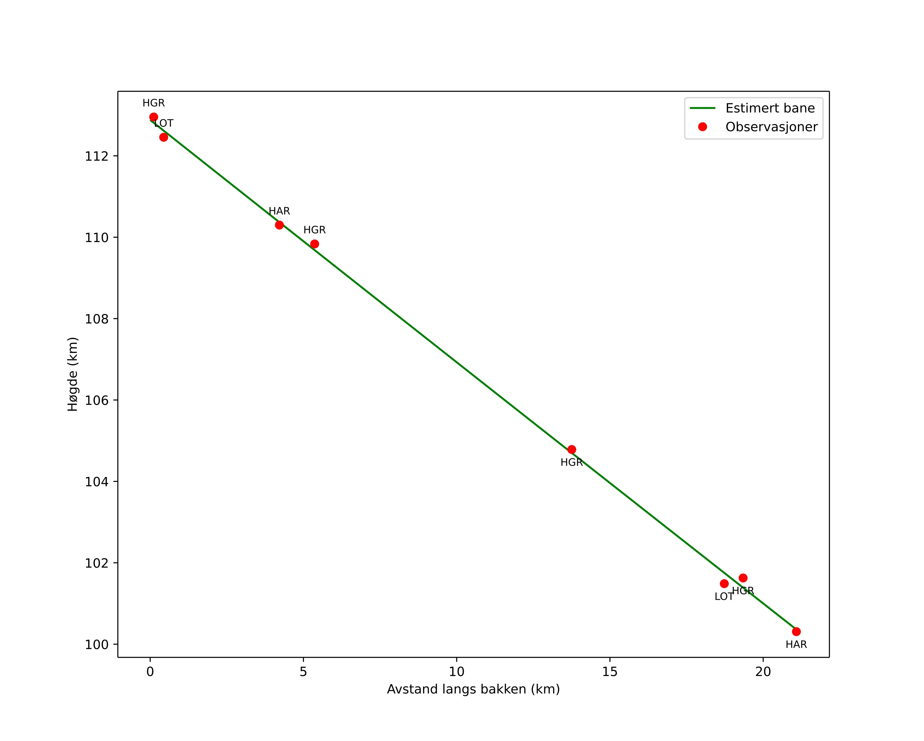
Atmosférická dráha meteoru:
| Počátečnà výška: | 111,8 km |
| Konečná výška: | 97,4 km |
| Počátečnà poloha: | 60,094N 8,838E |
| Konečná poloha: | 60,194N 8,591E |
| Směr: | 309,1° |
| Sklon: | 39,3° |
| VstupnĂ rychlost: | 69,6 km/s |
| Rektascenze radiantu: | 05:37 (84,3°) |
| Deklinace radiantu: | 17,4° |
| MeteorickĂ˝ roj: | Orionidy |
|
Elementy dráhy meteoroidu:
| Vzdálenost v periheliu: | 0,530 AU |
| Excentricita: | 1,130 |
| Sklon dráhy: | 167,1° |
| Délka vzestupného uzlu: | 21,6° |
| Argument perihelia: | 83,3° |
| Střednà anomálie: | -4,3° |
| Epocha: | 2025 OCT 15 00:52:31 |
|