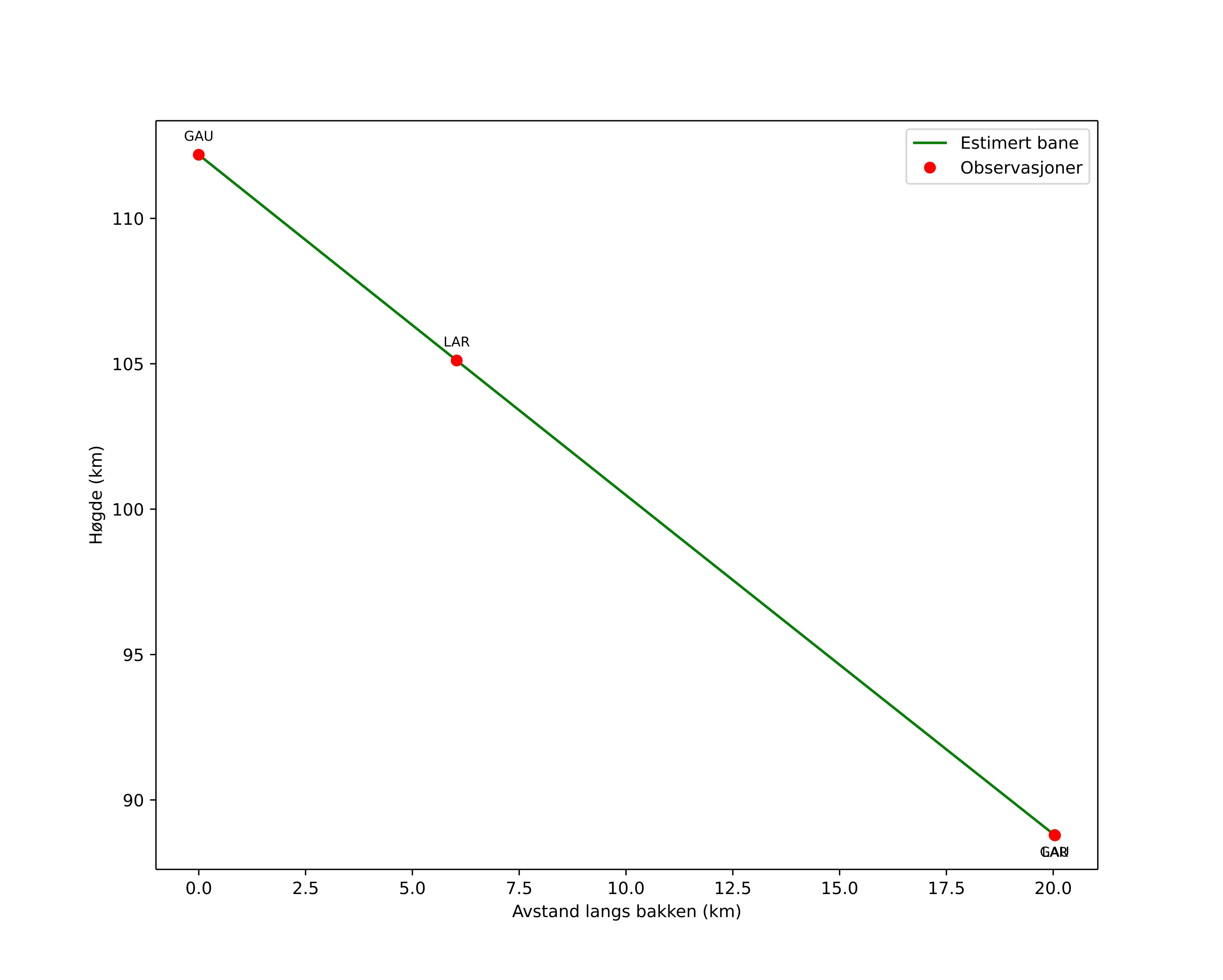
Atmosférická dráha meteoru:
| Počátečnà výška: | 110,9 km |
| Konečná výška: | 87,8 km |
| Počátečnà poloha: | 63,679N 7,847E |
| Konečná poloha: | 63,551N 7,643E |
| Směr: | 215,3° |
| Sklon: | 52,9° |
| VstupnĂ rychlost: | 69,8 km/s |
| Rektascenze radiantu: | 10:55 (163,9°) |
| Deklinace radiantu: | 69,0° |
| MeteorickĂ˝ roj: | sporadickĂ˝ |
|
Elementy dráhy meteoroidu:
| Vzdálenost v periheliu: | 0,978 AU |
| Excentricita: | 2,716 |
| Sklon dráhy: | 98,6° |
| Délka vzestupného uzlu: | 201,6° |
| Argument perihelia: | 166,7° |
| Střednà anomálie: | 15,7° |
| Epocha: | 2025 OCT 15 01:52:59 |
|