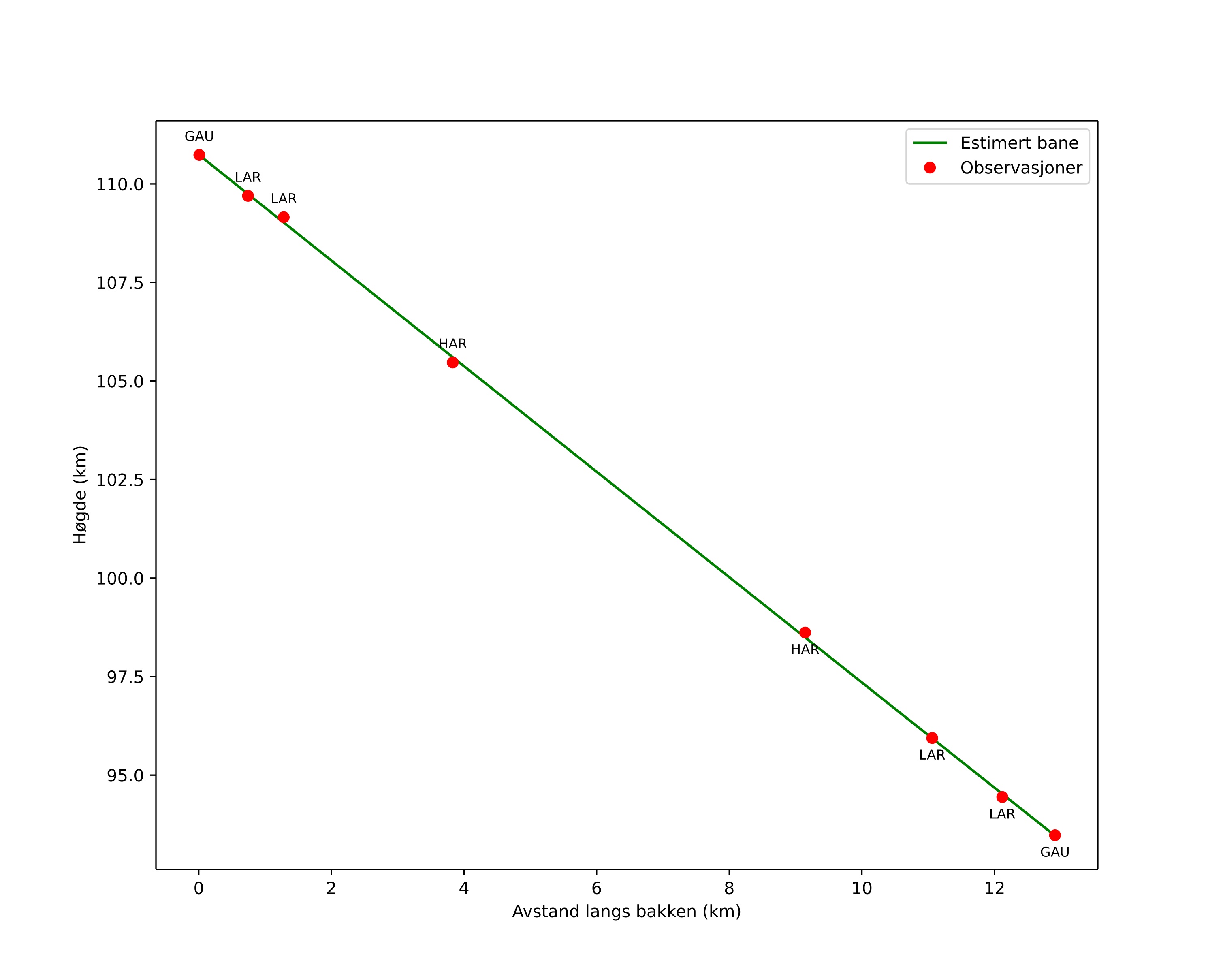
Atmosférická dráha meteoru:
| Počátečnà výška: | 111,8 km |
| Konečná výška: | 95,1 km |
| Počátečnà poloha: | 57,856N 10,569E |
| Konečná poloha: | 57,783N 10,425E |
| Směr: | 226,3° |
| Sklon: | 54,8° |
| VstupnĂ rychlost: | 63,5 km/s |
| Rektascenze radiantu: | 09:23 (140,8°) |
| Deklinace radiantu: | 64,8° |
| MeteorickĂ˝ roj: | sporadickĂ˝ |
|
Elementy dráhy meteoroidu:
| Vzdálenost v periheliu: | 0,989 AU |
| Excentricita: | 1,500 |
| Sklon dráhy: | 106,1° |
| Délka vzestupného uzlu: | 201,6° |
| Argument perihelia: | 170,4° |
| Střednà anomálie: | 2,1° |
| Epocha: | 2025 OCT 15 01:59:28 |
|