🇳🇴 🇬🇧 🇩🇪 🇨🇿 🇫🇮

Meteor over Hunnebostrand 2025-10-15 02:23:57 UTC

KML-fil  |  Interaktivt kart

Kartet viser peilingene for meteoren. De lysere linjene viser retningene fra observasjonsstedene for meteorens tilsynekomst, og de mørkere linjene viser hvor den sist kunne sees. Den blå pila viser meteorens synlige ferd.

static map
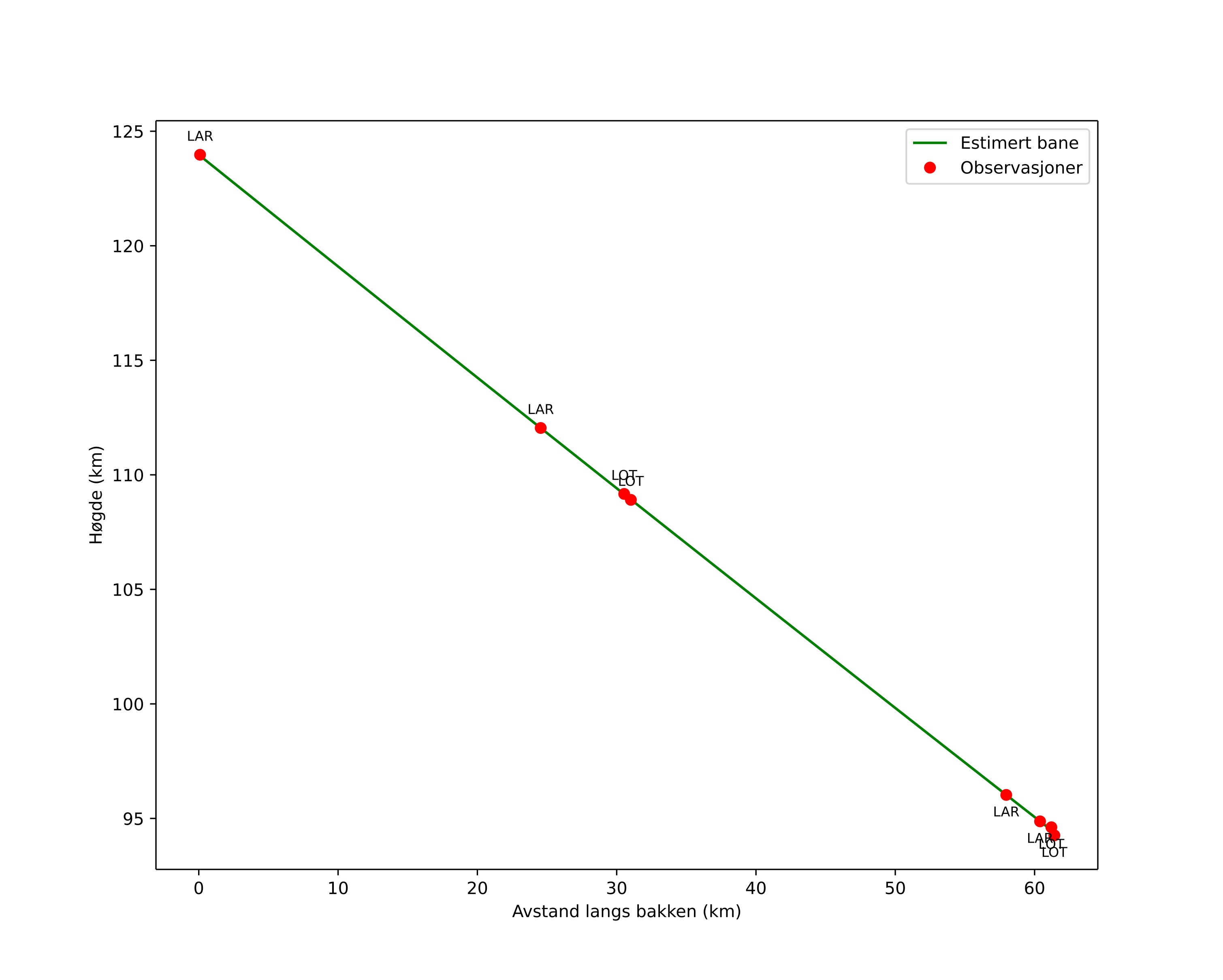
height profile
Meteorens atmosfæriske bane:
Starthøgde: 129,5 km
Slutthøgde: 94,4 km
Startposisjon: 58,018N 12,278E
Sluttposisjon: 58,473N 11,380E
Retning: 314,3°
Fallvinkel: 25,7°
Inngangshastighet: 40,4 km/s
Radiantens rektascensjon: 07:28 (112,1°)
Radiantens deklinasjon: 0,7°
Meteorsverm: sporadisk
Meteoroidens baneelement:
Perihelavstand: 0,149 AU
Eksentrisitet: 0,740
Inklinasjon: 114,4°
Knutelengde: 21,6°
Perihelargument: 181,2°
Midlere anomali: 174,8°
Epoke: 2025 OCT 15 02:23:57
orbit plot

Ikke-interaktivt plott | Interaktivt plott

position vs time
speed and acceleration

Larvik (LAR) cam3


gnomonic
Videoer
• Gnomonisk
• Gnomonisk med koordinater
• Original
• Original med koordinater
Bilder
• Gnomonisk
• Gnomonisk med koordinater
• Original
• Original med koordinater
Tekstfiler
• Deteksjon
• Observasjon
• Koordinater
• Logg
Lysstyrke

Larvik (LAR) cam7


gnomonic
Videoer
• Gnomonisk
• Gnomonisk med koordinater
• Original
• Original med koordinater
Bilder
• Gnomonisk
• Gnomonisk med koordinater
• Original
• Original med koordinater
Tekstfiler
• Deteksjon
• Observasjon
• Koordinater
• Logg
Lysstyrke

Loten (LOT) cam3


gnomonic
Videoer
• Gnomonisk
• Gnomonisk med koordinater
• Original
• Original med koordinater
Bilder
• Gnomonisk
• Gnomonisk med koordinater
• Original
• Original med koordinater
Tekstfiler
• Deteksjon
• Observasjon
• Koordinater
• Logg
Lysstyrke

Loten (LOT) cam4


gnomonic
Videoer
• Gnomonisk
• Gnomonisk med koordinater
• Original
• Original med koordinater
Bilder
• Gnomonisk
• Gnomonisk med koordinater
• Original
• Original med koordinater
Tekstfiler
• Deteksjon
• Observasjon
• Koordinater
• Logg
Lysstyrke

Voksenlia (OSL) cam4


gnomonic
Videoer
• Gnomonisk
• Gnomonisk med koordinater
• Original
• Original med koordinater
Bilder
• Gnomonisk
• Gnomonisk med koordinater
• Original
• Original med koordinater
Tekstfiler
• Deteksjon
• Observasjon
• Logg
Lysstyrke