🇳🇴 🇬🇧 🇩🇪 🇨🇿 🇫🇮

Meteor over Stange 2025-10-15 04:42:53 UTC

KML-fil  |  Interaktivt kart

Kartet viser peilingene for meteoren. De lysere linjene viser retningene fra observasjonsstedene for meteorens tilsynekomst, og de mørkere linjene viser hvor den sist kunne sees. Den blå pila viser meteorens synlige ferd.

static map
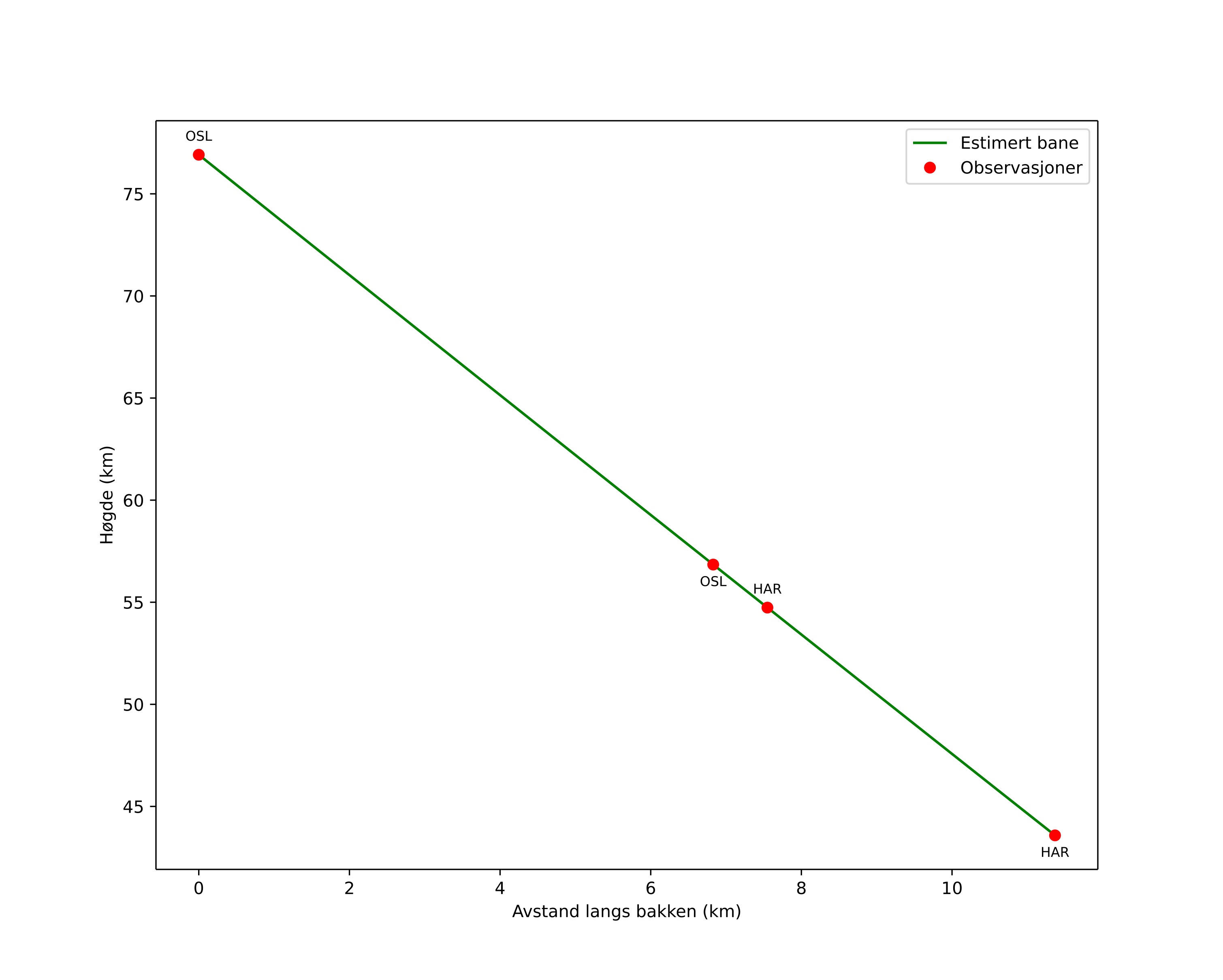
height profile
Meteorens atmosfæriske bane:
Starthøgde: 81,3 km
Slutthøgde: 75,1 km
Startposisjon: 60,619N 11,225E
Sluttposisjon: 60,718N 11,219E
Retning: 358,2°
Fallvinkel: 29,3°
Inngangshastighet: 19,9 km/s
Radiantens rektascensjon: 07:05 (106,5°)
Radiantens deklinasjon: -6,3°
Meteorsverm: sporadisk
Meteoroidens baneelement:
Perihelavstand: 0,203 AU
Eksentrisitet: 0,662
Inklinasjon: 27,0°
Knutelengde: 21,7°
Perihelargument: 177,9°
Midlere anomali: 187,7°
Epoke: 2025 OCT 15 04:42:53
orbit plot

Ikke-interaktivt plott | Interaktivt plott

position vs time
speed and acceleration

Harestua (HAR) cam6


gnomonic
Videoer
• Gnomonisk
• Gnomonisk med koordinater
• Original
• Original med koordinater
Bilder
• Gnomonisk
• Gnomonisk med koordinater
• Original
• Original med koordinater
Tekstfiler
• Deteksjon
• Observasjon
• Koordinater
• Logg
Lysstyrke

Voksenlia (OSL) cam5


gnomonic
Videoer
• Gnomonisk
• Gnomonisk med koordinater
• Original
• Original med koordinater
Bilder
• Gnomonisk
• Gnomonisk med koordinater
• Original
• Original med koordinater
Tekstfiler
• Deteksjon
• Observasjon
• Koordinater
• Logg
Lysstyrke