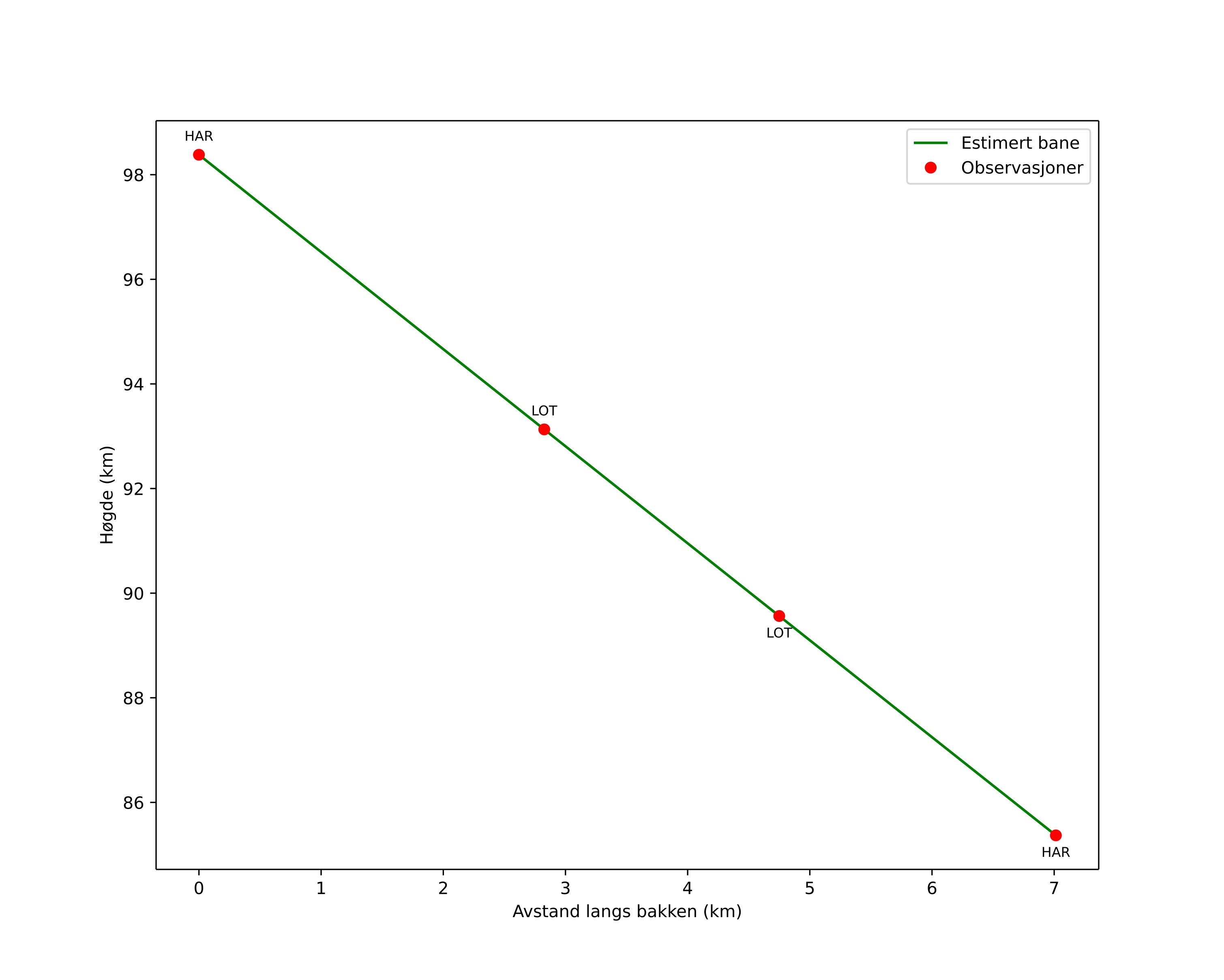
Atmosférická dráha meteoru:
| Počátečnà výška: | 97,5 km |
| Konečná výška: | 84,6 km |
| Počátečnà poloha: | 60,309N 10,830E |
| Konečná poloha: | 60,259N 10,892E |
| Směr: | 148,4° |
| Sklon: | 63,2° |
| VstupnĂ rychlost: | 34,5 km/s |
| Rektascenze radiantu: | 16:46 (251,7°) |
| Deklinace radiantu: | 74,5° |
| MeteorickĂ˝ roj: | sporadickĂ˝ |
|
Elementy dráhy meteoroidu:
| Vzdálenost v periheliu: | 0,997 AU |
| Excentricita: | 0,829 |
| Sklon dráhy: | 53,0° |
| Délka vzestupného uzlu: | 202,3° |
| Argument perihelia: | 179,4° |
| Střednà anomálie: | 0,0° |
| Epocha: | 2025 OCT 15 18:57:50 |
|