Atmosférická dráha meteoru:
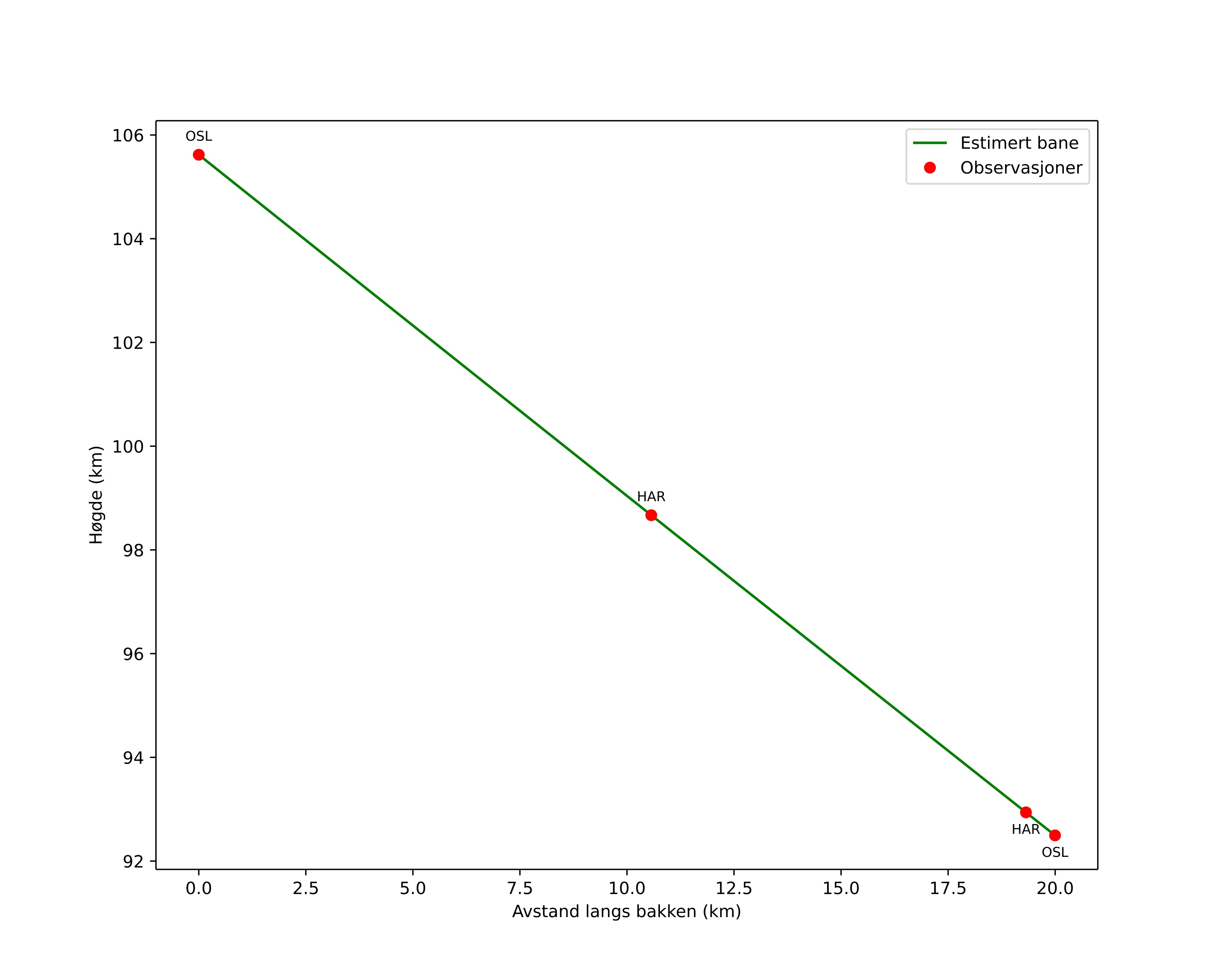
| Počátečnà výška: | 105,7 km |
| Konečná výška: | 92,2 km |
| Počátečnà poloha: | 61,379N 7,950E |
| Konečná poloha: | 61,195N 8,005E |
| Směr: | 171,9° |
| Sklon: | 33,1° |
| VstupnĂ rychlost: | 62,2 km/s |
| Rektascenze radiantu: | 14:47 (221,9°) |
| Deklinace radiantu: | 60,9° |
| MeteorickĂ˝ roj: | sporadickĂ˝ |
|
Elementy dráhy meteoroidu:
| Vzdálenost v periheliu: | 0,938 AU |
| Excentricita: | 3,298 |
| Sklon dráhy: | 71,9° |
| Délka vzestupného uzlu: | 202,5° |
| Argument perihelia: | 157,3° |
| Střednà anomálie: | 39,7° |
| Epocha: | 2025 OCT 15 23:39:22 |
|