🇳🇴 🇬🇧 🇩🇪 🇨🇿 🇫🇮

Meteor over VÃ¥ler 2025-10-16 17:55:59 UTC

KML-fil  |  Interaktivt kart

Kartet viser peilingene for meteoren. De lysere linjene viser retningene fra observasjonsstedene for meteorens tilsynekomst, og de mørkere linjene viser hvor den sist kunne sees. Den blå pila viser meteorens synlige ferd.

static map
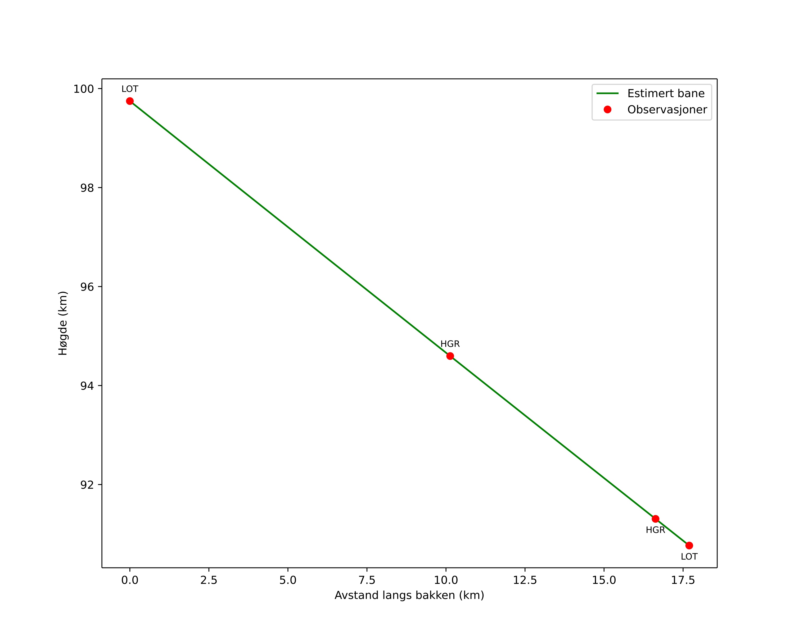
height profile
Meteorens atmosfæriske bane:
Starthøgde: 99,8 km
Slutthøgde: 90,7 km
Startposisjon: 60,718N 12,034E
Sluttposisjon: 60,712N 11,705E
Retning: 268,0°
Fallvinkel: 26,9°
Inngangshastighet: 36,3 km/s
Radiantens rektascensjon: 01:38 (24,7°)
Radiantens deklinasjon: 22,8°
Meteorsverm: sporadisk
Meteoroidens baneelement:
Perihelavstand: 0,380 AU
Eksentrisitet: 1,020
Inklinasjon: 15,3°
Knutelengde: 203,3°
Perihelargument: 283,0°
Midlere anomali: -0,4°
Epoke: 2025 OCT 16 17:55:59
orbit plot

Ikke-interaktivt plott | Interaktivt plott

position vs time
speed and acceleration

Hagar (HGR) cam7


gnomonic
Videoer
• Gnomonisk
• Gnomonisk med koordinater
• Original
• Original med koordinater
Bilder
• Gnomonisk
• Gnomonisk med koordinater
• Original
• Original med koordinater
Tekstfiler
• Deteksjon
• Observasjon
• Koordinater
• Logg
Lysstyrke

Loten (LOT) cam7


gnomonic
Videoer
• Gnomonisk
• Gnomonisk med koordinater
• Original
• Original med koordinater
Bilder
• Gnomonisk
• Gnomonisk med koordinater
• Original
• Original med koordinater
Tekstfiler
• Deteksjon
• Observasjon
• Koordinater
• Logg
Lysstyrke