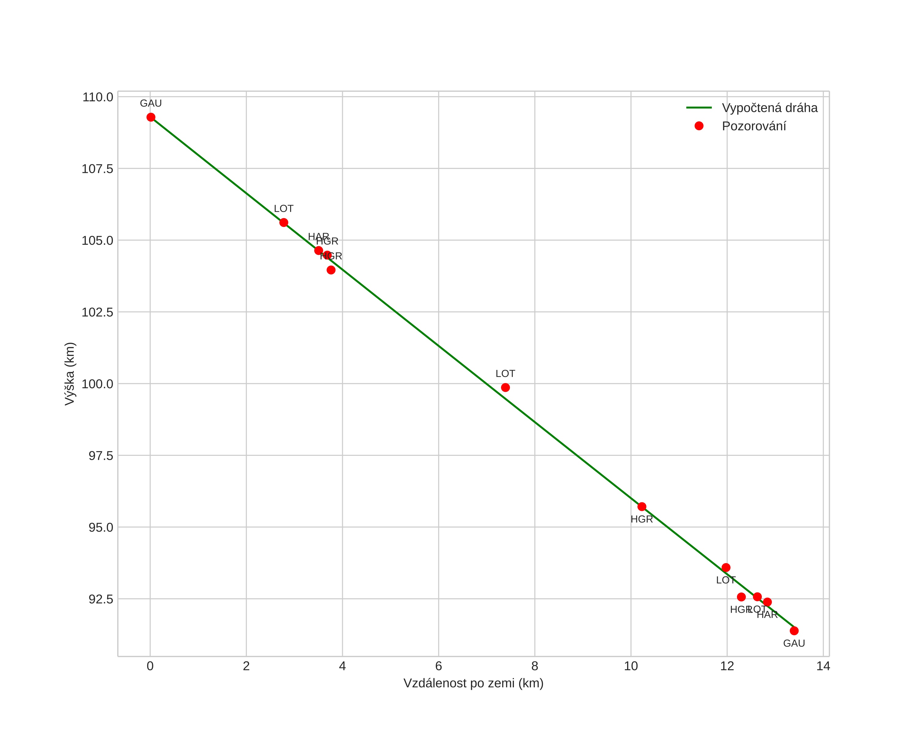
Atmosférická dráha meteoru:
| Počátečnà výška: | 111,1 km |
| Konečná výška: | 91,4 km |
| Počátečnà poloha: | 60,565N 8,393E |
| Konečná poloha: | 60,440N 8,287E |
| Směr: | 202,6° |
| Sklon: | 52,5° |
| VstupnĂ rychlost: | 52,6 km/s |
| Rektascenze radiantu: | 05:39 (84,8°) |
| Deklinace radiantu: | 75,2° |
| MeteorickĂ˝ roj: | sporadickĂ˝ |
|
Elementy dráhy meteoroidu:
| Vzdálenost v periheliu: | 0,890 AU |
| Excentricita: | 1,049 |
| Sklon dráhy: | 88,3° |
| Délka vzestupného uzlu: | 203,3° |
| Argument perihelia: | 217,7° |
| Střednà anomálie: | -0,3° |
| Epocha: | 2025 OCT 16 19:49:24 |
|